Evaluation of pharmacological correction of hypoxic-ischemic encephalopathy sequelae using peptide erythropoietin analogs in a mouse model of mild and moderate hypoxic-ischemic encephalopathy during the late remodeling phase
Vladimir M. Pokrovsky1
1Belgorod State National Research University; 85 Pobedy St., Belgorod 308015 Russia
Corresponding author: Vladimir M. Pokrovsky (vmpokrovsky@yandex.ru)
Abstract
Introduction: Hypoxic-ischemic encephalopathy (HIE) is an early-life brain injury that remains a leading cause of long-term neurodevelopmental deficits, including cerebral palsy, epilepsy, and cognitive-behavioral impairment. Because persistent neuroinflammation and progressive neurodegeneration contribute to delayed outcomes, targeting EPOR-CD131 with nonerythropoietic erythropoietin derivatives represents a promising strategy to modulate neurovascular unit function and limit secondary injury beyond the acute therapeutic window.
Materials and Methods: CD-1 mice underwent neonatal hypoxia–ischemia at postnatal day 9 (modified Rice–Vannucci) and were stratified 3 h later into mild or moderate injury using laser speckle imaging (RFLSI-ZW), then allocated to treatment groups. Starting on day 7 post-injury, EPO (5000 IU/kg) and Epobis (20 mg/kg) were administered subcutaneously once daily and Ara-290 (30 µg/kg) intraperitoneally twice daily for 7 days, after which exploratory behavior and caffeine-induced neurostimulation responses were evaluated.
Results: In this experimental study, Epobis and Ara-290 normalized mild HIE hyperlocomotion in the open field, whereas EPO mainly improved anxiety-like behavior and only Epobis increased peripheral time toward intact levels. In the caffeine challenge, all treatments reversed paradoxical suppression in mild HIE, and Epobis most effectively reduced caffeine-induced hyperreactivity and restored baseline activity in moderate HIE.
Conclusion: Epobis and Ara-290 normalized mild HIE hyperlocomotion in the open field, whereas Epobis provided the most comprehensive behavioral correction and EPO mainly improved anxiety-related measures. All treatments restored a physiological caffeine response in mild HIE, and Epobis most effectively improved behavior and reduced caffeine-induced hyperreactivity in moderate HIE, supporting further preclinical and subsequent clinical evaluation.
Graphical Abstract
Keywords: hypoxic-ischemic encephalopathy, exploratory behavior, caffeine neurostimulation test, Epobis, Ara-290, EPO, laser speckle contrast imaging
Introduction
Hypoxic-ischemic encephalopathy (HIE) is a brain injury that develops within the first hours of life as a result of the combined effects of hypoxia, ischemia, and impaired metabolic regulation in brain tissue, and is characterized by a spectrum of neurological disorders of varying severity as disease outcomes (Chan et al. 2025; Konrad et al. 2025). HIE remains one of the leading causes of postnatal central nervous system injury and subsequent impairments in children’s neuropsychological development (Huntingford et al. 2024; Chan et al. 2025; Konrad et al. 2025). Epidemiological studies indicate that cerebral palsy develops in 20–50% of cases, and this risk increases threefold when neonatal seizures and neonatal status epilepticus are present (Huntingford et al. 2024). In 30% of children who have sustained neurotrauma of various etiologies, a structural form of epilepsy develops in the postneonatal period (Huntingford et al. 2024). The most common deficits involve behavioral and cognitive domains and occur in 50–80% of cases (Lakatos et al. 2019; Wu et al. 2023; Huntingford et al. 2024; Cizmeci et al. 2025). A promising strategy for treating long-term consequences of HIE is the use of compounds capable of influencing brain tissue remodeling after an ischemic episode by modulating neurovascular unit functions (Ramirez et al. 2022; Spencer et al. 2023; Hakansson et al. 2025). Given that, in the long-term period after HIE, persistent neuroinflammation and progressive neurodegeneration represent key pathogenic processes, there is a need to identify compounds with neuromodulatory and nootropic properties (Chan et al. 2025; Konrad et al. 2025). The strategy of activating the extensively studied EPOR-CD131 receptor, which is expressed on all cells of the neurovascular compartment, may be promising because it mediates cell-specific neuroprotective and anti-inflammatory effects that, at the organ level, converge to limit secondary injury and may thereby mitigate long-term neurodegenerative consequences of HIE (Ostrowski and Heinrich 2018; Simon et al. 2019; Urena-Guerrero et al. 2020; Suresh et al. 2020). For this purpose, erythropoietin derivatives can be used, whose tissue-protective effects are mediated via the EPOR-CD131 receptor rather than the EPOR homoreceptor expressed in hematopoietic tissues, which precludes the use of recombinant epoetin for correcting long-term consequences of HIE due to potential adverse effects associated with blood rheology (Wang et al. 2016; Ostrowski & Heinrich 2018; Simon et al. 2019; Suresh et al. 2020; Urena-Guerrero et al. 2020).
Research objective: to evaluate pharmacological correction with EPOBIS and Ara-290 in a mouse model of mild and moderate hypoxic-ischemic encephalopathy during the late remodeling phase.
Materials and Methods
Study design
To establish the experimental groups, CD-1 mice were mated at a male-to-female ratio of 1:3. The presence of a copulatory plug was checked the next day, and the day of visualization was considered gestational day 1. After 20–21 days, a total of 169 pups were obtained. After birth, litters were mixed and fostered to lactating dams at no more than 8 pups per dam, maintaining an equal number of pups per foster dam. Neonatal hypoxia–ischemia (HIE) was induced at postnatal day 9 using the Rice–Vannucci model modification. Three hours after injury induction, animals were stratified into mild and moderate HIE severity groups as previously described, using the RFLSI-ZW system (RWD Life Science, China), followed by allocation to the treatment groups (Table 1) (Pokrovskii et al. 2026). The first injection of the study drugs was administered 7 days after injury induction. EPO and Epobis were administered subcutaneously once every 24 hours, whereas Ara-290 was administered intraperitoneally every 12 hours for 7 days. Fourteen days after completion of therapy, the effects of pharmacological correction on exploratory behavior were assessed, followed by a caffeine neurostimulation test.
|
Table 1. |
Download as |
||
|
Experimental groups and pharmacological interventions |
|||
|
Number of animals in the experimental treatment groups |
||||||
|
Materials and methods |
Group designation |
EPO 5000 МЕ/kg |
Epobis 20 mg/kg |
Ara‑290 30 μg/kg |
HIE w/o correction |
Intact |
|
Exploratory behavior; Caffeine neurostimulation test |
Slight injury HIE |
n = 10 |
n = 11 |
n = 10 |
n = 11 |
n=10 |
|
Moderate injury HIE |
n = 10 |
n = 11 |
n = 12 |
n = 10 |
||
Animals
HIE modeling was performed in 204 CD-1 mice at postnatal day 9. The study was approved by the Institutional Committee for Control of the Maintenance and Use of Laboratory Animals of Belgorod State National Research University (BelSU) (approval №01-10i/25 of 01 October 2025). Mice were housed in the SPF animal facility of BelSU under a 12-hour light/dark cycle at 22–26 C, with ad libitum access to food and water. All procedures were conducted in accordance with the European Convention ETS No. 170 and Directive 2010/63/EU.
HIE induction and severity stratification
Neonatal hypoxia–ischemia was induced in CD-1 mice at postnatal day 9 using a modified Rice–Vannucci protocol (n = 204) (Sheldon et al. 2018). Briefly, the left common carotid artery was coagulated; pups were then returned to the foster dam for 90 min and subsequently placed in a hypoxic chamber for 50 min (10% O2, 90% N2). Three hours after hypoxia, animals were stratified by the degree of perfusion reduction in the lesion area based on laser speckle contrast imaging of cerebral blood flow (RFLSI-ZW, RWD Life Science, China), as previously described (Pokrovskii et al. 2026).
Study drugs and doses
EPO, erythropoietin (epoetin beta; PHARMAPARK, Pharmstandart-UfaVITA, Russia), was administered at 5000 IU/kg. The short peptide erythropoietin analogs were Ara-290 (Russian Peptide, Russia) at 30 μ/kg and Epobis (Russian Peptide, Russia) at 20 mg/kg. Doses were selected based on prior preclinical studies of these compounds in models of ischemic stroke and experimental autoimmune encephalomyelitis (Dmytriyeva et al. 2016; Wang et al. 2024).
Open field test
The open field test was used to assess locomotor activity, exploratory behavior, and anxiety-like behavior. Testing was performed during the light phase under constant diffuse illumination (40–50 lux) and minimal background noise. Animals were placed in the center of a square matte plastic arena (50 x 50 cm; wall height 40 cm). The arena surface was cleaned with 70% ethanol before each trial to remove odor cues.
Behavior was recorded for 5 min using an overhead video camera and analyzed with EthoVision software (Noldus Information Technology, Netherlands). The following endpoints were quantified: velocity, total distance traveled, number of entries into the center, and time spent in the peripheral zone.
Pharmacological challenge with caffeine
To assess neurophysiological reactivity and latent anxiety-like and motor components, a functional pharmacological challenge was conducted using caffeine administered intraperitoneally at a dose of 20 mg/kg, 1 h prior to the open field test.
Statistical analysis
Statistical analysis and graphical presentation were performed using GraphPad Prism 8.0 (GraphPad Software Inc., USA). Numerical data are presented as mean ± standard deviation (M ± SD). Data distribution was assessed using the Shapiro–Wilk test. For normally distributed data, Welch ANOVA was applied followed by the Games–Howell post hoc test for multiple comparisons. For non-normally distributed data, the Kruskal–Wallis test was used followed by Dunn’s post hoc test for multiple comparisons.
Results
Assessment of changes in exploratory behavior and caffeine neurostimulation responses after pharmacological correction during the remodeling phase of mild HIE
Assessment of exploratory behavior
When analyzing mean locomotor velocity, total distance traveled, time spent in the peripheral zone, and the number of transitions from the periphery to the center in the studied groups with mild HIE in the open field test, the following results were obtained.
After therapy for mild HIE, the highest mean velocity among the treated groups was observed in the EPO group (13.70 ± 2.084 cm/s) and was comparable to that in the untreated HIE group (14.50 ± 1.762 cm/s), in contrast to the Epobis (9.900 ± 1.621 cm/s) and Ara-290 (9.629 ± 1.53 cm/s) groups, which were closer in value to the intact group (9.868 ± 1.31 cm/s). Intergroup statistically significant differences were detected using the Games–Howell test when comparing the Ara-290 and Epobis groups with the untreated HIE group (p = 0.0001), whereas no differences were observed relative to the intact group, indicating a pronounced therapeutic effect (Fig. 1-1).
Figure 1. Effect of EPO (5000 IU/kg), Epobis (20 mg/kg), and Ara-290 (30 μ/kg) on mean velocity and total distance traveled in the open field test during correction of mild HIE at day 15 after injury induction. Note: 1 – Changes in mean velocity in the mild HIE treatment groups; 2 – Changes in total distance traveled in the mild HIE treatment groups. # – comparison with the intact group; explanations are provided in the text.
A similar pattern was observed for total distance traveled in the open field test. Compared with the mild HIE group (4311 ± 596 cm), this parameter decreased in the Epobis (3044 ± 648.1 cm), Ara-290 (2815 ± 401.2 cm), EPO (3437 ± 893.5 cm), and intact (3040 ± 553 cm) groups by 29.4%, 34.7%, 20.3%, and 29.5%, respectively. Statistically significant intergroup differences versus the untreated HIE group were detected for Epobis (p = 0.0036) and Ara-290 (p < 0.0001) (Fig. 1-2).
Thus, during pharmacological correction of mild HIE in the delayed period, Epobis and Ara-290 significantly reduced hyperlocomotion in the open field: mean velocity decreased to values comparable to those of intact animals, and total distance traveled was significantly reduced relative to the untreated HIE group (Epobis p = 0.0036; Ara-290 p < 0.0001). In contrast, EPO did not normalize the locomotor component, indicating persistence of the baseline hyperactive profile.
When analyzing the number of entries into the central zone and time spent in the periphery as key indices of anxiety-like behavior in the mild HIE treatment groups, the following patterns were identified.
Compared with the mild HIE group (41 ± 6), the number of center entries in the open field test decreased in the Epobis (29.55 ± 4.97), Ara-290 (36.40 ± 7.03), EPO (31.00 ± 3.06), and intact (24.70 ± 4.74) groups by 28.7%, 12.2%, 25.5%, and 67.8%, respectively. Statistically significant differences versus the untreated HIE group were observed for EPO (p = 0.0045) and Epobis (p = 0.0025), but not for Ara-290, and a difference was also detected between the untreated HIE and intact groups (p < 0.0001), indicating a significant therapeutic effect in the EPO and Epobis groups and its absence in the Ara-290 group (Fig. 2-2).
Figure 2. Effect of EPO (5000 IU/kg), Epobis (20 mg/kg), and Ara-290 (30 μ/kg) on time spent in the peripheral zone and the number of transitions from the periphery to the center in the open field test during correction of mild HIE at day 15 after injury induction. Note: 1 – Change in time spent in the peripheral zone; 2 – Change in the number of center entries. # – comparison with the intact group; explanations are provided in the text.
After therapy for mild HIE, the highest time spent in the peripheral zone among the treated groups was observed in the Epobis group (259.2 ± 11.67 s) and was comparable to such in the intact group (257.8 ± 6.932 s). No significant increase was observed in the EPO (233.9 ± 22.33 s) and Ara-290 (235.2 ± 16.20 s) groups compared with such in the untreated HIE group (231.6 ± 6.348 s). In intergroup comparisons versus the untreated HIE group, a statistically significant difference was detected only for Epobis (p = 0.0001); additionally, the Epobis group differed from the Ara-290 and intact groups. A difference was also found between the untreated HIE and intact groups (p < 0.0001) (Fig. 2-1).
Regarding anxiety-related and exploratory behavior indices, a significant effect was observed for Epobis and EPO, manifested as a reduction in the number of center entries versus HIE (Epobis p = 0.0025; EPO p = 0.0045), whereas Ara-290 did not demonstrate statistically confirmed correction of this component. Overall, Epobis, by combining normalization of locomotion and correction of spatial behavioral strategy, produced the most pronounced correction of pathological changes, whereas EPO predominantly affected the anxiety/exploratory component while hyperlocomotion persisted, and Ara-290 predominantly reduced hyperlocomotion without a marked effect on center activity.
Caffeine neurostimulation test results
To assess caffeine-induced behavioral reactivity in mild HIE, a quantitative analysis was performed in which the difference was calculated between the open field parameters and the corresponding values measured on the following day after a preliminary caffeine injection in the experimental animals.
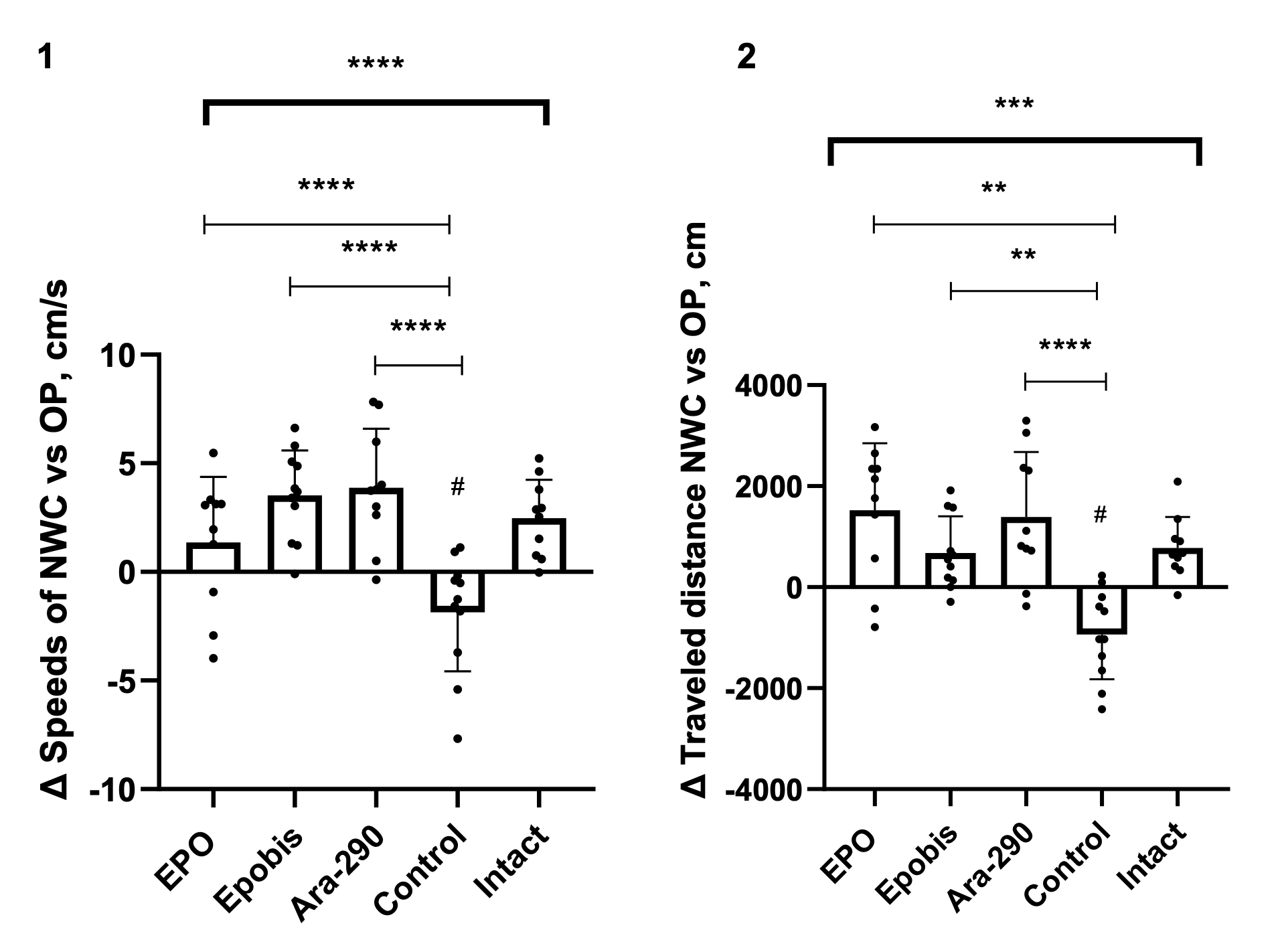
For locomotor parameters, animals with mild HIE showed a paradoxical response to caffeine, manifested as a decrease in velocity (-1.861 ± 2.715 cm/s) and total distance traveled (-939.2 ± 882.6 cm) after stimulation (Fig. 3.24-1). Under pharmacological correction, the neurostimulation response normalized with respect to mean velocity and distance traveled, since positive delta values were recorded in the EPO (1.354 ± 3.026 cm/s; 1520 ± 1327 cm), Epobis (3.525 ± 2.067 cm/s; 677.7 ± 722.9 cm), and Ara-290 (3.882 ± 2.714 cm/s; 1393 ± 1285 cm) groups, which were comparable in response type to the intact group (2.482 ± 1.760 cm/s; 780.0 ± 612.5 cm) (Fig. 3).
Figure 3. Effect of EPO (5000 IU/kg), Epobis (20 mg/kg), and Ara-290 (30 μ/kg) on mean velocity and total distance traveled in the caffeine neurostimulation test during correction of mild HIE in the remodeling phase at day 16 after injury induction. Note: 1 – Change in mean velocity in the caffeine neurostimulation test; 2 – Change in total distance traveled in the caffeine neurostimulation test. # – comparison with the intact group; explanations are provided in the text.
Intergroup analysis of total distance traveled confirmed statistically significant differences in delta distance between the HIE group and all treatment variants, including EPO (p < 0.0001), Epobis (p = 0.0038), and Ara-290 (p < 0.0001), as well as a difference between the HIE group and intact animals (p = 0.0025). Intergroup analysis of mean velocity showed significant differences relative to the control group for EPO (p = 0.0382), Epobis (p < 0.0001), and Ara-290 (p < 0.0001). Taken together, these results indicate that pharmacological correction of mild HIE in the delayed period with synthetic erythropoietin analogs eliminates the pathologically inverted locomotor reactivity to caffeine and restores a physiological response pattern in which stimulation is accompanied by increased locomotor activity.
Figure 4. Effect of EPO (5000 IU/kg), Epobis (20 mg/kg), and Ara-290 (30 μ/kg) on the number of transitions from the periphery to the center and time spent in the peripheral zone in the caffeine neurostimulation test during correction of mild HIE in the remodeling phase at day 16 after injury induction. Note: 1 – Change in transitions from the periphery to the center in the caffeine neurostimulation test; 2 – Change in time spent in the peripheral zone in the caffeine neurostimulation test. # – comparison with the intact group; explanations are provided in the text.
Changes in spatial behavioral strategy and center activity showed a limited number of statistically confirmed differences. For the delta time spent in the peripheral zone, a significant difference was identified only when comparing the EPO group with the intact group, indicating a more pronounced caffeine-induced shift toward peripheral behavior under EPO relative to the physiological response (Fig. 4-2). For the delta number of transitions from the periphery to the center, only one significant difference was found between the Ara-290 and HIE groups, reflecting an attenuation of caffeine-induced increases in center transitions under Ara-290 relative to untreated animals (Fig. 4-1).
Assessment of changes in exploratory behavior and caffeine neurostimulation responses after pharmacological correction during the remodeling phase of moderate HIE
Assessment of exploratory behavior
In moderate HIE, the open field test revealed a hypokinetic and dysregulatory behavioral profile characterized by the lowest mean locomotor velocity and increased center activity, as reflected by a higher number of entries into the center compared with intact animals.
When analyzing mean locomotor velocity, total distance traveled, time spent in the peripheral zone, and the number of transitions from the periphery to the center in the studied groups with moderate HIE in the open field test, the following results were obtained.
In contrast to the untreated mild HIE group, which displayed the open field pattern described above, the lowest mean locomotor velocity among the groups was observed in the moderate HIE group (5.501 ± 1.298 cm/s). In the treatment groups, this parameter increased by 23%, 37%, and 27% in the EPO (7.110 ± 1.41 cm/s), Epobis (8.71 ± 1.61 cm/s), and Ara-290 (7.47 ± 1.2 cm/s) groups, respectively. Intergroup statistically significant differences were detected using the Games–Howell test when comparing Ara-290 (p = 0.0408) and Epobis (p = 0.0020) with the untreated group (p = 0.0001), and when comparing Ara-290 and EPO with the intact group, indicating a pronounced change in the Epobis group (Fig. 5-1).
Figure 5. Effect of EPO (5000 IU/kg), Epobis (20 mg/kg), and Ara-290 (30 μ/kg) on mean velocity and total distance traveled in the open field test during correction of moderate HIE at day 15 after injury induction. Note: 1 – Change in mean velocity in the moderate HIE treatment groups; 2 – Change in total distance traveled in the moderate HIE treatment groups. # – comparison with the intact group; explanations are provided in the text.
A similar pattern was observed for total distance traveled in the open field test. Compared with the moderate HIE group (2405 ± 290.7 cm), this parameter increased in the Epobis (2671 ± 338.6 cm), Ara-290 (2812 ± 436.4 cm), and EPO (3040 ± 553.0 cm) groups by 23%, 16.9%, and 11.1%, respectively, in the open field test. Multiple-comparisons analysis demonstrated a statistically significant increase in total distance traveled versus the HIE group only in the Epobis group (p = 0.02) (Fig. 5-2).
Thus, pharmacological correction resulted in partial restoration of the locomotor component. Mean velocity increased in all treatment groups; however, a statistically significant improvement relative to HIE was confirmed for Epobis (p = 0.0020) and Ara-290 (p = 0.0408), indicating a more pronounced recovery of locomotor activity, most evident in the Epobis group. For total distance traveled, an increasing trend was also observed under therapy, but statistically significant elevation above the HIE level was detected only in the Epobis group (p = 0.02).
When analyzing the number of entries into the central zone and time spent in the peripheral zone as key indices of anxiety-like behavior in the moderate HIE treatment groups, the following patterns were identified.
Compared with the moderate HIE group (54 ± 7.6), the number of center entries in the open field test decreased in the Epobis (31.09 ± 4.3), Ara-290 (42.58 ± 12.03), EPO (31.90 ± 5), and intact (24.7 ± 4.74) groups by 43.5%, 23.4%, 43.7%, and 55.7%, respectively.
Figure 6. Effect of EPO (5000 IU/kg), Epobis (20 mg/kg), and Ara-290 (30 μ/kg) on time spent in the peripheral zone and the number of transitions from the periphery to the center in the open field test during correction of moderate HIE at day 15 after injury induction. Note: 1 – Change in time spent in the peripheral zone; 2 – Change in the number of center entries. # – comparison with the intact group; explanations are provided in the text.
Statistically significant differences versus the untreated HIE group were observed for EPO (p < 0.01) and Epobis (p < 0.001), but not for Ara-290; a difference was also detected between the untreated HIE and intact groups (p < 0.0001) (Fig. 6-2).
After therapy for moderate HIE, an increase in time spent in the peripheral zone was observed in all treatment groups compared with the control group (227.4 ± 10.04 s) by 9%, 10%, and 6% in the EPO (243.6 ± 8.3 s), Epobis (245.5 ± 5.4 s), and Ara-290 (236.3 ± 13.51 s) groups, respectively; however, this parameter remained 13% lower than in the intact group (260.5 ± 9.577 s). Intergroup comparisons versus the untreated HIE group revealed a statistically significant difference in the Epobis (p = 0.0050) and EPO (p = 0.0262) groups, but not in the Ara-290 group; additionally, all treatment groups differed from the intact group (p = 0.0143). A difference was also found between the untreated HIE and intact groups (p less than 0.0001) (Fig. 6-1).
Analysis of the anxiety/exploratory component showed that Epobis and EPO significantly reduced the number of center entries compared with the untreated group (p < 0.001 and p < 0.01, respectively), shifting the behavioral strategy toward the intact phenotype, whereas Ara-290 did not provide a statistically confirmed correction of this endpoint. Overall, Epobis demonstrated the most comprehensive and pronounced effect in moderate HIE by combining improved locomotor activity with a reduction in pathologically increased center activity.
Caffeine neurostimulation test results
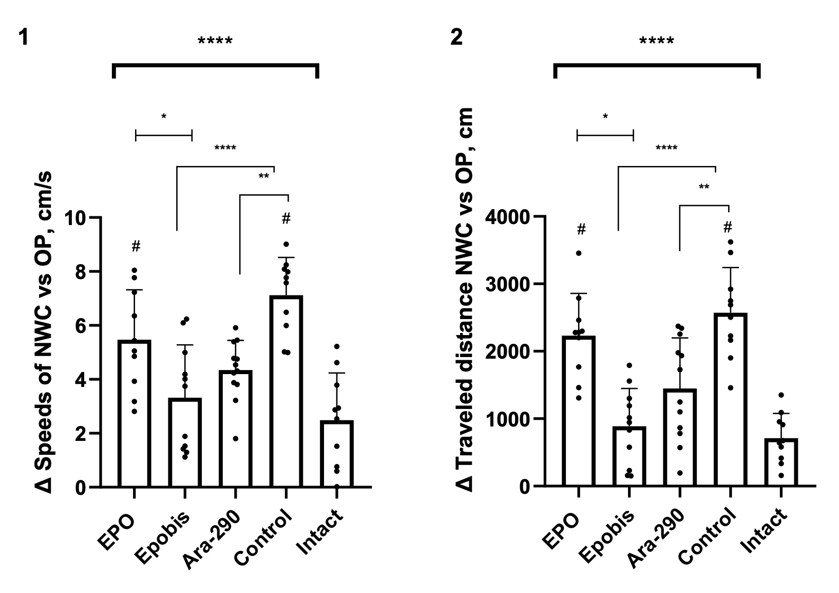
In moderate HIE, a pathological hyperreactivity to caffeine stimulation was observed, manifested as increased locomotor activity compared with such in intact animals by 4.119 ± 1.4 for mean velocity and by 2570 ± 670.5 for total distance traveled.
Figure 7. Effect of EPO (5000 IU/kg), Epobis (20 mg/kg), and Ara-290 (30 μ/kg) on mean velocity and total distance traveled in the caffeine neurostimulation test during correction of moderate HIE in the remodeling phase at day 16 after injury induction. Note: 1 – Change in mean velocity in the caffeine neurostimulation test; 2 – Change in total distance traveled in the caffeine neurostimulation test. # – comparison with the intact group; explanations are provided in the text.
Accordingly, the caffeine neurostimulation test results confirm these events and account for the observed changes. In the treatment groups, a reduction in the amplitude of the locomotor response was observed, with the most pronounced attenuation of hyperreactivity in the Epobis group (3.321 ± 1.955 cm/s; p < 0.0001) and, to a lesser extent, in the Ara-290 group (4.342 ± 1.105 cm/s; p < 0.01). In the EPO group (5.467 ± 1.857 cm/s), increased reactivity relative to the intact level persisted, and the response was also more pronounced than in the Epobis group (p < 0.05), indicating incomplete normalization of induced locomotion with this correction regimen (Fig. 7-1).
A similar pattern was confirmed for the integral endpoint of total distance traveled compared with the untreated group: Epobis produced the greatest reduction in induced hyperactivity (886.7 ± 562 cm; p < 0.0001), Ara-290 showed an intermediate effect (1448 ± 750 cm; p = 0.0009), whereas EPO maintained a relatively high level of stimulus-induced increase in activity (2231 ± 626.7 cm), which was significantly higher than both the intact level (p < 0.0001) and the other treatment options when compared with Epobis (p < 0.0001) and with Ara-290 (p = 0.0354) (Fig. 7-2).
Analysis of spatial behavioral strategy showed that HIE was associated with a pathological shift in the caffeine response toward increased time spent in the peripheral zone of the arena in the form of the caffeine neurostimulation index (36.61 ± 15.7 s), which can be interpreted as increased thigmotaxis and a shift of behavioral organization toward a more cautious or avoidance-controlled mode against the background of overall activation. Compared with the untreated group, Epobis eliminated this component of reactivity (-4.762 ± 7.273 s; p < 0.0001) and shifted the peripheral-behavior change profile toward the intact type (-3.700 ± 7.63 s), whereas in the Ara-290 group (23.47 ± 14.27 s) time spent in the peripheral zone differed from the HIE values (p = 0.0008) (Fig. 8-2).
Under caffeine stimulation, animals with HIE also exhibited excessive center activity manifested by an increased number of transitions from the periphery to the center, and all treatment variants reduced the magnitude of this component compared with untreated HIE, bringing behavior closer to the physiological range.
Figure 8. Effect of EPO (5000 IU/kg), Epobis (20 mg/kg), and Ara-290 (30 μkg) on the number of transitions from the periphery to the center and time spent in the peripheral zone in the caffeine neurostimulation test during correction of moderate HIE in the remodeling phase at day 16 after injury induction. Note: 1 – Change in transitions from the periphery to the center in the caffeine neurostimulation test; 2 – Change in time spent in the peripheral zone in the caffeine neurostimulation test. # – comparison with the intact group; explanations are provided in the text.
Under caffeine stimulation, animals with HIE also exhibited excessive center activity manifested by an increased number of transitions from the periphery to the center, and all treatment variants reduced the magnitude of this component compared with untreated HIE, bringing behavior closer to the physiological range. In the EPO group, the parameter was lower by 47.5% (18.70 ± 8.932 events; p = 0.0070); in the Epobis group, it was lower by 45.6% (19.36 ± 8.936 events; p = 0.0079); and in the Ara-290 group, it was lower by 41.7% (20.75 ± 10.86 events; p = 0.0248) compared with the moderate HIE group (Fig. 8-1). This reflects a reduction in caffeine-induced behavioral dysregulation across all treatment groups.
Discussion
According to the study design, correction of the emerging impairments in exploratory behavior in mice after mild and moderate HIE using synthetic erythropoietin derivatives, in comparison with recombinant EPO, was assessed 7 days after pathology induction. This approach has independent scientific and clinical value because it allows evaluation of a fundamentally different therapeutic scenario that models intervention not during the phase of primary energy collapse and excitotoxicity, but rather during the sub-acute to delayed phase of secondary injury and repair.
The pathogenesis of HIE is not limited to early excitotoxicity. Secondary cascades continue to operate after the first hours and days, including neuroinflammation, neurovascular unit dysfunction, oxidative stress, programmed cell death, and processes that determine the quality of recovery, such as synaptic remodeling, neuroplasticity, oligodendrocyte maturation, and white matter restoration. These mechanisms largely determine long-term outcomes, including motor disability and cognitive impairment (Chakkarapani et al. 2025; Konrad et al. 2025; Yang et al. 2025). Therefore, therapy initiated 7 days after injury tests the ability of the studied compounds to influence late but clinically meaningful determinants of outcome, rather than only the volume of primary necrosis.
Therapeutic hypothermia, the treatment of choice for HIE, is effective when initiated early; however, real-world organization of care and variability in the timing of condition recognition mean that some patients do not fall within the optimal time window (Arnautovic et al. 2024; Montaldo et al. 2024). Consequently, there remains a pronounced clinical need for approaches that may be beneficial after completion of the acute phase, when hypothermia is no longer applicable or its effect is insufficient.
According to experimental studies examining the neuromodulatory effects of EPO administered after an HIE episode in rat models, EPO prevented the hypoxia–ischemia-induced reduction of synaptic proteins, including Synapsin1 and PSD95, in the cerebral cortex and hippocampus. In addition, EPO reduced APP expression, induced expression of the microtubule-associated protein MAP-2, and restored axonal density after hypoxia–ischemia. However, these effects were observed with recombinant erythropoietin administered at doses that substantially exceed hematopoietic doses, which limits its clinical use for correction of long-term HIE sequelae (Lan et al. 2016; Xiong et al. 2019). In this context, EPO derivatives that lack hematopoietic effects but retain neuroprotective properties may be suitable for this purpose.
The main concept underlying the neuroprotective and tissue-protective properties of erythropoietin is associated with activation of the EPOR-CD131 receptor, which belongs to the cytokine receptor family and triggers intracellular signaling predominantly via JAK2 kinase, followed by activation of transcription of genes associated with a shift in the balance of stress-protein gene expression toward expression of tissue-preserving genes. Moreover, EPO appears in brain tissues within several hours after a hypoxic–ischemic episode, which is consistent with its potential role in the endogenous response to injury and supports its physiological relevance in resolution of the pathological process (Juul et al. 1999; Anusornvongchai et al. 2018; Simon et al. 2019; Suresh et al. 2020;). In neurons, such activation is associated with reduced apoptosis, preservation of mitochondrial integrity, and maintenance of the structural integrity of synaptic connections, which collectively decreases neuronal loss and supports preservation of neural networks and cognitive functions. In astrocytes, modulation of astrocytic reactivity, maintenance of metabolic homeostasis, and improvement of neurovascular coupling are proposed, which may limit secondary injury in the perifocal zone of the ischemic lesion (Gunnarson et al. 2009; Ostrowski and Heinrich 2018).
Caffeine is a nonselective antagonist of adenosine A1 and A2A receptors and therefore can be considered a functional challenge test that assesses the magnitude of adenosine-mediated inhibition and the degree of preserved reactivity of neuronal networks. In the literature, the neurostimulatory effect of caffeine is primarily attributed to blockade of A2A receptors in motor circuits and attenuation of adenosine-dependent inhibition, as well as to its effects on the excitation–inhibition balance at the level of cortical and subcortical structures (Sturgess et al. 2010; Carbone et al. 2025; Amoruso et al. 2026). In the HIE model, such a challenge is informative because hypoxic–ischemic injury, neuroinflammation, and glial reactivity can alter adenosine levels, receptor density, and receptor coupling to intracellular cascades, thereby modifying the function of the adenosine system itself (Sun et al. 2020; Mike et al. 2024).
Studies examining gene expression of adenosine and dopamine receptors have shown that adenosine receptor (Adora2A) expression increases 2.5-fold at 14 days after the mouse MCAO model, whereas dopamine receptor (Drd2) levels increase 7.5-fold. This is associated with the important role of these receptors in shaping behavioral and neurochemical profiles of brain tissues after ischemic events, with expression increasing congruently with injury severity (Gotz et al. 2023).
The results of the caffeine neurostimulation test can be interpreted as reflecting differences in the capacity of the studied compounds to restore the functional reserve of neuronal networks and normalize neurotransmitter homeostasis in brain tissue. In mild HIE, all three treatment variants corrected the locomotor component according to the delta mean velocity (EPO p < 0.0001; Epobis p = 0.0038; Ara-290 p < 0.0001), while no between-treatment differences were detected among the correction groups. In addition, at the level of strategic parameters in the caffeine neurostimulation test in mild HIE, a statistically significant effect was registered only for Ara-290 in terms of the delta number of transitions from the periphery to the center (p = 0.0025), whereas the effect of EPO and Epobis on this parameter was not confirmed. These findings are consistent with the literature in that, under less severe injury, key elements of adenosine-dependent regulation and motor circuits remain relatively preserved, and any therapy that attenuates secondary cascades can restore functional integrity, such that blockade of adenosine receptors yields a predictable neurostimulatory response.
In the caffeine neurostimulation test in the moderate HIE correction groups, different effects were observed. Correction of the delta velocity persisted for Epobis (p < 0.0001) and Ara-290 (p < 0.01), with no effect for EPO, and Epobis outperformed EPO in a direct comparison (p < 0.05). For the delta number of transitions from the periphery to the center, significant differences from HIE were noted for all three treatment variants (EPO p = 0.0070; Epobis p = 0.0079; Ara-290 p = 0.0248), allowing this parameter to be considered a sensitive marker of restoration of behavioral reactivity in moderate injury severity. In light of the literature, this may be attributed to the greater contribution of neuroinflammation and glial dysregulation with more pronounced injury, which are closely linked to the adenosine system. Microglia and astrocytes participate in purine metabolism and in the generation of extracellular adenosine, including via CD39 and CD73 and related pathways, and they also express adenosine receptors that influence activation phenotype and cytokine production. Under these conditions, the caffeine challenge reflects not only motor stimulation but also the magnitude of pathological adenosine tone and network resilience to neuromodulatory intervention. If therapy effectively reduces inflammatory activation and normalizes the metabolic background, it may restore predictable adenosine-dependent modulation and thereby re-establish a robust response to A1 and A2A blockade (Mills et al. 2012; Boison et al. 2013).
Conclusion
In the delayed period, pharmacological correction of mild HIE with Epobis and Ara-290 significantly reduced hyperlocomotion in the open field test, reflected by normalization of locomotor velocity and total distance traveled to intact levels, whereas EPO did not normalize the locomotor component but partially corrected exploratory/anxiety-related behavior. Based on integrated behavioral readouts, Epobis provided the most comprehensive correction by combining normalization of locomotor activity and spatial behavioral strategy. In the caffeine challenge under mild HIE, all treatment variants eliminated the pathologically inverted response to stimulation and restored a physiological pattern of locomotor reactivity. In moderate HIE, therapy partially restored locomotor activity, with Epobis showing the most pronounced and statistically supported effects on key parameters and most effectively limiting pathological caffeine-induced hyperreactivity. These findings provide a rationale for further preclinical and subsequent clinical investigation of synthetic erythropoietin derivatives as potential agents for correction of delayed HIE sequelae.
Additional Information
Conflict of interest
The authors declare the absence of a conflict of interests.
Funding
This work was supported by the Ministry of Science and Higher Education of the Russian Federation, agreement No. FZWG-2026-0003..
Ethics statement
The study was approved by the Institutional Committee for Control of the Maintenance and Use of Laboratory Animals of Belgorod State National Research University (BelSU) (approval №01-10i/25 of 01 October 2025).
Data availability
All of the data that support the findings of this study are available in the main text.
References
§ Amoruso P, Lecce E, Scotto di Palumbo A, Sacchetti M, Bazzucchi I (2026) Caffeine as an ergogenic aid for neuromuscular performance: Mechanisms of action from brain to motor units. Nutrients 18(2): 252. https://doi.org/10.3390/nu18020252 [PubMed] [PMC]
§ Anusornvongchai T, Nangaku M, Jao TM, Wu CH, Ishimoto Y, Maekawa H, Tanaka T, Shimizu A, Yamamoto M, Suzuki N, Sassa R, Inagi R (2018) Palmitate deranges erythropoietin production via transcription factor ATF4 activation of unfolded protein response. Kidney International 94(3): 536–550. https://doi.org/10.1016/j.kint.2018.03.011 [PubMed]
§ Arnautovic T, Sinha S, Laptook AR (2024) Neonatal hypoxic-ischemic encephalopathy and hypothermia treatment. Obstetrics & Gynecology 143(1): 67–81. https://doi.org/10.1097/AOG.0000000000005392 [PubMed] [PMC]
§ Boison D, Sandau US, Ruskin DN, Kawamura M Jr, Masino SA (2013) Homeostatic control of brain function – new approaches to understand epileptogenesis. Frontiers in Cellular Neuroscience 7: 109. https://doi.org/10.3389/fncel.2013.00109 [PubMed] [PMC]
§ Carbone MG, Pagni G, Tagliarini C, Maremmani I, Maremmani AGI (2025) Caffeine in aging brains: Cognitive enhancement, neurodegeneration, and emerging concerns about addiction. International Journal of Environmental Research and Public Health 22(8): 1171. https://doi.org/10.3390/ijerph22081171 [PubMed] [PMC]
§ Chakkarapani E, de Vries LS, Ferriero DM, Gunn AJ (2025) Neonatal encephalopathy and hypoxic-ischemic encephalopathy: The state of the art. Pediatric Research 98(7): 2444–2458. https://doi.org/10.1038/s41390-025-03986-2 [PubMed] [PMC]
§ Chan NH, Hawkins CC, Rodrigues, BV, Cornet MC, Gonzalez FF, Wu YW (2025) Neuroprotection for neonatal hypoxic-ischemic encephalopathy: A review of novel therapies evaluated in clinical studies. Developmental Medicine & Child Neurology 67(5): 591–599. https://doi.org/10.1111/dmcn.16184 [PubMed]
§ Cizmeci MN, Christensen R, van Steenis A, de Vries LS (2025) Neuroprognostication in neonatal encephalopathy due to presumed hypoxic-ischemic encephalopathy. Pediatric Research 98(7): 2459–2470. https://doi.org/10.1038/s41390-025-04058-1 [PubMed]
§ Dmytriyeva O, Pankratova S, Korshunova I, Walmod PS (2016) Epobis is a nonerythropoietic and neuroprotective agonist of the erythropoietin receptor with anti-inflammatory and memory enhancing effects. Mediators of Inflammation 2016: 1346390. https://doi.org/10.1155/2016/1346390 [PubMed] [PMC]
§ Götz J, Wieters F, Fritz VJ, Käsgen O, Kalantari A, Fink GR, Aswendt M (2023) Temporal and spatial gene expression profile of stroke recovery genes in mice. Genes 14(2): 454. https://doi.org/10.3390/genes14020454 [PubMed] [PMC]
§ Gunnarson E, Song Y, Kowalewski JM, Brismar H, Brines M, Cerami A, Andersson U, Zelenina M, Aperia A (2009) Erythropoietin modulation of astrocyte water permeability as a component of neuroprotection. Proceedings of the National Academy of Sciences of the United States of America 106(5): 1602–1607. https://doi.org/10.1073/pnas.0812708106 [PubMed] [PMC]
§ Håkansson G, Robertsson Grossmann K, Ådén U, Blennow M, Fransson P (2025) Functional brain connectivity in early adolescence after hypothermia-treated neonatal hypoxic-ischemic encephalopathy. Pediatric Research 98(5): 1827–1834. https://doi.org/10.1038/s41390-025-03951-z [PubMed] [PMC]
§ Huntingford SL, Boyd SM, McIntyre SJ, Goldsmith SC, Hunt RW, Badawi N (2024) Long-term outcomes following hypoxic ischemic encephalopathy. Clinics in Perinatology 51(3): 683–709. https://doi.org/10.1016/j.clp.2024.04.008 [PubMed]
§ Juul SE, Yachnis AT, Rojiani AM, Christensen RD (1999) Immunohistochemical localization of erythropoietin and its receptor in the developing human brain. Pediatric and Developmental Pathology 2(2): 148–158. https://doi.org/10.1007/s100249900103 [PubMed]
§ Konrad J, Chau V, Selvanathan T (2025) Advances in neonatal hypoxic-ischemic encephalopathy. Pediatric Clinics of North America 72(5): 939–955. https://doi.org/10.1016/j.pcl.2025.05.006 [PubMed]
§ Lakatos A, Kolossváry M, Szabó M, Jermendy Á, Barta H, Gyebnár G, Rudas G, Kozák LR (2019) Neurodevelopmental effect of intracranial hemorrhage observed in hypoxic ischemic brain injury in hypothermia-treated asphyxiated neonates – an MRI study. BMC Pediatrics 19(1): 430. https://doi.org/10.1186/s12887-019-1777-z [PubMed] [PMC]
§ Lan KM, Tien LT, Cai Z, Lin S, Pang Y, Tanaka S, Rhodes PG, Bhatt AJ, Savich RD, Fan LW (2016) Erythropoietin ameliorates neonatal hypoxia-ischemia-induced neurobehavioral deficits, neuroinflammation, and hippocampal injury in the juvenile rat. International Journal of Molecular Sciences 17(3): 289. https://doi.org/10.3390/ijms17030289 [PubMed] [PMC]
§ Mike JK, White Y, Ha J, Iranmahboub A, Hawkins C, Hutchings RS, Vento C, Manzoor H, Wang A, Goudy BD, Vali P, Lakshminrusimha S, Gobburu JVS, Long-Boyle J, Fineman JR, Ferriero DM, Maltepe E (2024) Perinatal caffeine administration improves outcomes in an ovine model of neonatal hypoxia-ischemia. Stroke 55(11): 2705–2715. https://doi.org/10.1161/STROKEAHA.124.048264 [PubMed] [PMC]
§ Mills JH, Kim DG, Krenz A, Chen JF, Bynoe MS (2012) A2A adenosine receptor signaling in lymphocytes and the central nervous system regulates inflammation during experimental autoimmune encephalomyelitis. Journal of Immunology 188(11): 5713–5722. https://doi.org/10.4049/jimmunol.1200545 [PubMed] [PMC]
§ Montaldo P, Cirillo M, Burgod C, Caredda E, Ascione S, Carpentieri M, Puzone S, D'Amico A, Garegrat R, Lanza M, Moreno Morales M, Atreja G, Shivamurthappa V, Kariholu U, Aladangady N, Fleming P, Mathews A, Palanisami B, Windrow J, Harvey K, Soe A, Pattnayak S, Sashikumar P, Harigopal S, Pressler R, Wilson M, De Vita E, Shankaran S, Thayyil S; COMET Trial Group (2024) Whole-body hypothermia vs targeted normothermia for neonates with mild encephalopathy: A multicenter pilot randomized clinical trial. JAMA Network Open 7(5): e249119. https://doi.org/10.1001/jamanetworkopen.2024.9119 [PubMed] [PMC]
§ Ostrowski D, Heinrich R (2018) Alternative erythropoietin receptors in the nervous system. Journal of Clinical Medicine 7(2): 24. https://doi.org/10.3390/jcm7020024 [PubMed] [PMC]
§ Pankratova S, Gu B, Kiryushko D, Korshunova I, Køhler LB, Rathje M, Bock E, Berezin V (2012) A new agonist of the erythropoietin receptor, Epobis, induces neurite outgrowth and promotes neuronal survival. Journal of Neurochemistry 121(6): 915–923. https://doi.org/10.1111/j.1471-4159.2012.07751.x [PubMed]
§ Pokrovskii V, Lapin K, Antonova V, Korokin M, Gudyrev O, Gureev V, Korokina L, Scheblykina O, Nesterov A, Maslinikova M, Chatsky I, Mukhamedov D, Pokrovskii M (2026) Use of laser speckle contrast imaging for distribution of animals by severity of brain tissue damage in a neonatal hypoxia-ischemia model in mice. Brain Sciences 16: 102. https://doi.org/10.3390/brainsci16010102 [PubMed] [PMC]
§ Pokrovsky VM, Chatsky IV, Maslinikova MR, Zabolotskikh NV, Nesterov AV, Popov NV, Korokin MV (2025) Investigation of behavioral characteristic changes in animals with varying injury severity following brain tissue damage in a mouse model of neonatal hypoxia-ischemia during the juvenile period. Research Results in Pharmacology 11(4): 282–292. https://doi.org/10.18413/rrpharmacology.11.863
§ Ramirez A, Peyvandi S, Cox S, Gano D, Xu D, Tymofiyeva O, McQuillen PS (2022) Neonatal brain injury influences structural connectivity and childhood functional outcomes. PLOS ONE 17(1): e0262310. https://doi.org/10.1371/journal.pone.0262310 [PubMed] [PMC]
§ Sheldon RA, Windsor C, Ferriero DM (2018) Strain-related differences in mouse neonatal hypoxia-ischemia. Developmental Neuroscience 40(5–6): 490–496. https://doi.org/10.1159/000495880 [PubMed] [PMC]
§ Simon F, Floros N, Ibing W, Schelzig H, Knapsis (2019) Neurotherapeutic potential of erythropoietin after ischemic injury of the central nervous system. Neural Regeneration Research 14(8): 1309–1312. https://doi.org/10.4103/1673-5374.253507 [PubMed] [PMC]
§ Spencer APC, Lee-Kelland R, Brooks JCW, Jary S, Tonks J, Cowan FM, Thoresen M, Chakkarapani E (2023) Brain volumes and functional outcomes in children without cerebral palsy after therapeutic hypothermia for neonatal hypoxic-ischaemic encephalopathy. Developmental Medicine & Child Neurology 65(3): 367–375. https://doi.org/10.1111/dmcn.15369 [PubMed] [PMC]
§ Sturgess JE, Ting-A-Kee RA, Podbielski D, Sellings LH, Chen JF, van der Kooy (2010) Adenosine A1 and A2A receptors are not upstream of caffeine’s dopamine D2 receptor-dependent aversive effects and dopamine-independent rewarding effects. European Journal of Neuroscience 32(1): 143–154. https://doi.org/10.1111/j.1460-9568.2010.07247.x [PubMed] [PMC]
§ Sun H, Gonzalez F, McQuillen PS (2020) Caffeine restores background EEG activity independent of infarct reduction after neonatal hypoxic ischemic brain injury. Developmental Neuroscience 42(1): 72–82. https://doi.org/10.1159/000509365 [PubMed] [PMC]
§ Suresh S, Rajvanshi PK, Noguchi CT (2020) The many facets of erythropoietin physiologic and metabolic response. Frontiers in Physiology 10: 1534. https://doi.org/10.3389/fphys.2019.01534 [PubMed] [PMC]
§ Ureña-Guerrero ME, Castañeda-Cabral JL, Rivera-Cervantes MC, Macias-Velez RJ, Jarero-Basulto JJ, Gudiño-Cabrera G, Beas-Zárate (2020) Neuroprotective and neurorestorative effects of Epo and VEGF: Perspectives for new therapeutic approaches to neurological diseases. Current Pharmaceutical Design 26(12): 1263–1276. https://doi.org/10.2174/1381612826666200114104342 [PubMed]
§ Wang R, Wu X, Zhao H, Min L, Tao Z, Ji X, Luo Y (2016) Effects of erythropoietin combined with tissue plasminogen activator on the rats following cerebral ischemia and reperfusion. Brain Circulation 2(1): 54–60. https://doi.org/10.4103/2394-8108.178552 [PubMed] [PMC]
§ Wang RL, Yang ZH, Huang YY, Hu Y, Wang YL, Yan F, Zheng YM, Han ZP, Fan JF, Tao Z, Zhao HP, Li SJ, Luo YM (2024) Erythropoietin-derived peptide ARA290 mediates brain tissue protection through the beta-common receptor in mice with cerebral ischemic stroke. CNS Neuroscience & Therapeutics 30(3): e14676. https://doi.org/10.1111/cns.14676 [PubMed] [PMC]
§ Wu YW, Monsell SE, Glass HC, Wisnowski JL, Mathur AM, McKinstry RC, Bluml S, Gonzalez FF, Comstock BA, Heagerty PJ, Juul SE (2023) How well does neonatal neuroimaging correlate with neurodevelopmental outcomes in infants with hypoxic-ischemic encephalopathy? Pediatric Research 94(3): 1018–1025. https://doi.org/10.1038/s41390-023-02510-8 [PubMed] [PMC]
§ Xiong T, Yang X, Qu Y, Chen H, Yue Y, Wang H, Zhao F, Li S, Zou R, Zhang L, Mu D (2019) Erythropoietin induces synaptogenesis and neurite repair after hypoxia ischemia-mediated brain injury in neonatal rats. NeuroReport 30(11): 783–789. https://doi.org/10.1097/WNR.0000000000001285 [PubMed]
§ Yang M, Wang K, Liu B, Shen Y, Liu G (2025) Hypoxic-ischemic encephalopathy: Pathogenesis and promising therapies. Molecular Neurobiology 62(2): 2105–2122. https://doi.org/10.1007/s12035-024-04398-9 [PubMed]
Author Contribution
§ Vladimir M. Pokrovsky, Junior researcher, Research Institute of Pharmacology of Living Systems, Belgorod State National research University, Belgorod, Russia; e-mail: vmpokrovsky@yandex.ru; ORCID ID: https://orcid.org/0000-0003-3138-2075. Conceptualization, data curation, formal analysis, investigation, methodology, project administration.
Copyright (c) 2026 Pokrovsky VM

This work is licensed under a Creative Commons Attribution 4.0 International License.
