The excretion study of 4-(5-methyl-1,3,4-oxadiazole-2-yl)-benzenesulfonamide in rats
Alexander L. Khokhlov1, Ilya I. Yaichkov1,2, Anton A. Shetnev2, Mikhail K. Korsakov2, Nikita N. Volkhin1,2
1Yaroslavl State Medical University; 5 Revolutsionnaya St., Yaroslavl 150000 Russia
2 Yaroslavl State Pedagogical University named after K.D. Ushinsky; 108/1 Respublicanskaya St., Yaroslavl 150000 Russia
Corresponding author: Ilya I. Yaichkov (i.yaichkov@yspu.org)
Abstract
Introduction: The 4-(5-methyl-1,3,4-oxadiazole-2-yl)-benzenesulfonamide (ODASA) is a new carbonic anhydrase II inhibitor for open-angle glaucoma treatment, but the excretion study of this compound has not been performed yet. Aim: Calculation of excretion parameters of ODASA and its metabolites in urine and feces in rats.
Materials and Methods: The ODASA excretion was investigated on 6 Wistar rats. The 1% suspension of ODASA was instilled into each eye in a volume of 20μL (1.6 mg/kg). Excreta were collected using metabolic cages. Sampling of feces was performed every 24 h for 384 h after the administration. Urine was taken frequently in first day of experiment: 4 h, 8 h and 12 h after administration. Samples was stabilized and frozen (temperature <-70°C). Quantification of ODASA, 4-[5-(hydroxymethyl)-1,3,4-oxadiazole-2-yl]-benzenesulfonamide (M1), N-hydroxy-4-(5-methyl-1,3,4-oxadiazole-2-yl)-benzenesulfonamide (M2), 4-(5-methyl-1,3,4-oxadiazole-2-yl)-benzenesulfonic acid (M3) was carried out by HPLC-ESI-MS/MS. M2 was unstable in samples, and its content was calculated by summing the concentrations of M2 and its degradation product M3. Kinetex Phenyl Hexyl column (50*4.6 mm, 2.6 µm) was used for chromatographic separation.
Results: The developed bioanalytical methods for rat excreta analysis were validated in the range of 10-10000 ppb for ODASA and M1, 1-1000 ppb – for M2, and 5-5000 ppb – for M3. Part of 16.29±1.60% of the active compound was eliminated in unchanged form, 80.27±1.68% – in the form of M1, and 3.43±0.33% – in form of M2 (М±SEM). The drug is mainly excreted by renal route: 14.22±1.43% in the form of ODASA, 69.90±1.80% – in the form of M1, and 1.88±0.24% – in the form of M2 (М±SEM). The highest rate of renal excretion of the studied compounds was observed in period of 8-12 hours after administration. The complete elimination of ODASA was achieved through 360 h after administration.
Conclusion: Most part of ODASA is eliminated in the form of M1. The main route of excretion is renal. The use of validated bioanalytical methods guaranteed reliability of the obtained data.
Graphical Abstract
Keywords: HPLC-MS/MS, urine, feces, stabilization, validation, pharmacokinetics, excretion, rats, carbonic anhydrase II inhibitor, N-hydroxysulfonamide
Introduction
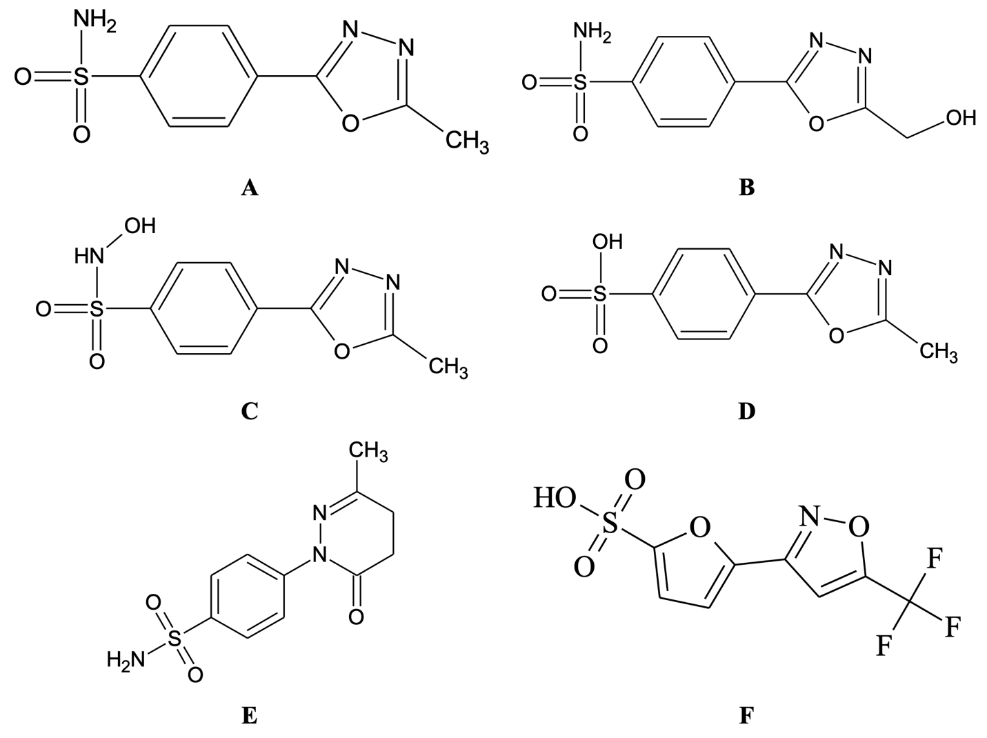
The 4-(5-methyl-1,3,4-oxadiazole-2-yl)-benzenesulfonamide (Fig. 1A) (ODASA) is a novel carbonic anhydrase II inhibitor with local action. ODASA and its ocular suspension are in the preclinical research stage. The relative bioavailability of active compound after eye instillation of the dosage form compared with intraperitoneal injection is more than 80% (Khokhlov et al. 2024). This indicates the necessity of complete pharmacokinetic study. The significant part of the study is investigation of main routes of excretion of the drug. ODASA and its hydroxylation products 4-[5-(hydroxymethyl)-1,3,4-oxadiazole-2-yl]-benzenesulfonamide (M1) (Fig. 1B) and N-hydroxy-4-(5-methyl-1,3,4-oxadiazole-2-yl)-benzenesulfonamide (M2) (Fig. 1C) are able to accumulate erythrocytes. This provides a half-life time more than 24 h (Khokhlov et al. 2024). Therefore, a long period of excrement sampling was required to observe the complete elimination of the drug and its metabolites. The urinary and fecal excretion of xenobiotics is most often studied (Qiu et al. 2022; Lu et al. 2023). Sometimes, the content of drugs and their metabolites in bile is determined to differentiate between biliary and intestinal routes (Lu et al. 2021; Chen et al. 2025).
Figure 1. Structure of 4-(5-methyl-1,3,4-oxadiazole-2-yl)-benzenesulfonamide, its main metabolites and internal standards.
Bioanalytical methods for excreta analysis should be validated to the same extent as methods for plasma or whole blood (Pang et al. 2019; Almalki et al. 2021; Yue et al. 2023). Calibration and quality control samples of feces, as well as tissues, are most often prepared by adding working standard solutions to the blank homogenate (Hu et al. 2020; G et al. 2021; Dong et al. 2022; Lu et al. 2023). This method is the most convenient for studies of distribution and excretion.
The N-hydroxymetabolite M2 is unstable in biological fluids and rapidly degrades with formation of 4-(5-methyl-1,3,4-oxadiazole-2-yl)-benzenesulfonic acid (M3) (Fig. 1D) (Khokhlov et al. 2024). It is impossible to prevent the decomposition of M2 with the presence of urine in the urinary tract and feces in the intestines of rats. Therefore, it is necessary to measure the concentration of M3 in excreta in addition to ODASA, M1 and M2, the pharmacokinetic parameters of which have been studied in plasma (Khokhlov et al. 2024). In this case, rat samples must be stabilized in order to obtain reproducible results of quantification of M2 and M3 during validation, as well as incurred sample reanalysis (Eurasian Economic Commission 2016; European Medicines Agency 2022).
The aim of the study is calculation of excretion parameters of ODASA and its metabolites in urine and feces in rats.
Materials and Methods
Equipment and reagents
The HPLC-MS/MS-system used for the study includes an Agilent 1260 Infinity chromatograph (Agilent Technologies, Germany) and a hybrid tandem mass spectrometric detector AB Sciex QTRAP5500 (AB Sciex, Singapore). The chromatograph consists of a binary pump G1312B, an autosampler G1329B with an external cooler G1330B, and a column thermostat G1316A. Two software products by AB Sciex were applied: Analyst 1.6.2 for control of device and MultiQuant 3.0.5 for chromatogram integration.
The substances of 4-(5-methyl-1,3,4-oxadiazole-2-yl)-benzenesulfonamide (99.4%), 4-[5-(hydroxymethyl)-1,3,4-oxadiazol-2-yl]-benzenesulfonamide (98.3%), N-hydroxy-4-(5-methyl-1,3,4-oxadiazol-2-yl)benzenesulfonamide (98.1%), and 4-(5-methyl-1,3,4-oxadiazole-2-yl)-benzenesulfonamide (98.6%) were used as reference standards. The internal standards (IS) were 4-(3-methyl-6-oxo-5,6-dihydropyridazin-1(4H)-yl)-benzenesulfonamide (OHSA) (Fig. 1E) (97.4%) and 5-[5-(trifluoromethyl)-1,2-oxazole-3-yl]-furan-2-sulfonic acid (Fig. 1F) (98.7%). All compounds were synthesized and attested by M.V. Dorogov Pharmaceutical Technology Transfer Center of Yaroslavl State Pedagogical University (YSPU) named after K.D. Ushinsky.
The following reagents were used for the study:
· Methanol (LiChrosolv hypergrade for LC-MS, Merck KGaA, Germany);
· Ammonium formate (≥99%, Acros Organics, Belgium);
· Ascorbic acid (chemical pure, JSC Lenreactive, Russia);
· Dimethylsulfoxide (chemical pure, Ekos-1 JSC, Russia).
Sample preparation and HPLC-MS/MS-analysis
Calibration samples (K1-K8), quality control samples of low (LQC), middle (MQC) and high (HQC) concentration levels, samples for the dilution integrity test (Dil) were prepared by adding of 5 µL of combined standard solution to 95 µL of blank urine or blank feces homogenate. An aliquot of 20 µL of 10% ascorbic acid solution was immediately added to urine spikes to prevent degradation of M2.
|
Table 1. |
Download as |
||
|
Concentrations of analytes in model urine and feces samples |
|||
|
Analyte |
Concentration, ng/mL |
|||||||
|
Calibration samples |
||||||||
|
K1 (LLOQ) |
K2 |
K3 |
K4 |
K5 |
K6 |
K7 |
K8 |
|
|
ODASA and M1 |
10 |
50 |
250 |
1000 |
2500 |
5000 |
7500 |
10000 |
|
M2 |
1 |
5 |
25 |
100 |
250 |
500 |
750 |
1000 |
|
M3 |
5 |
25 |
125 |
500 |
1250 |
2500 |
3750 |
5000 |
|
|
Quality control samples |
|||||||
|
LQC |
MQC |
HQC |
Dil |
|||||
|
ODASA and M1 |
30 |
3750 |
8750 |
17500 |
||||
|
M2 |
3 |
375 |
875 |
1750 |
||||
|
M3 |
15 |
187.5 |
437.5 |
875 |
||||
Note: ODASA – 4-(5-methyl-1,3,4-oxadiazole-2-yl)-benzenesulfonamide; M1 – 4-[5-(hydroxymethyl)-1,3,4-oxadiazol-2-yl]-benzenesulfonamide; M2 – N-hydroxy-4-(5-methyl-1,3,4-oxadiazol-2-yl)-benzenesulfonamide; M3 – 4-(5-methyl-1,3,4-oxadiazole-2-yl)-benzenesulfonic acid; LLOQ – lower limit of quantification; LQC, MQC, HQC – quality control samples of the lower, middle and upper levels; Dil – samples for dilution integrity test.
Preparation of rat urine was performed by dilution of 20 µL of the stabilized sample with 100 µL of methanol solution of IS with subsequent vortexing and centrifugation (5 min, 10000 rpm, cooling to 4°C). Feces were exactly weighted, and methanol was added to it in the ratio of 1:3 (weight: volume). The homogenation was carried out on a bead mill Bioprep-6 (Allsheng, China) using two steel balls with a diameter of 3 mm. The sample was centrifuged (5 min, 3000 rpm, cooling to 4°C), and 50 µL of supernatant was diluted by 100 µL of methanol solution of IS. The mixture was mixed on a vortex and centrifuged for 5 min at 10000 rpm. The injection volume was 5 µL for both matrices.
Kinetex Phenyl-Hexyl (50*4.6 mm, 2.6 µm) column with a Phenyl SecurityGuard Ultra Cartridge (4.6 mm, 2.6 µm) was applied for chromatographic analysis. The mobile phase consisted of 10mM ammonium formate aqueous solution and methanol. The flow rate was 650 µL/min, and the column temperature was 40°C during the gradient program (Table 2).
|
Table 2. |
|||
|
The parameters of gradient elution of the method |
|||
|
Time, min. |
А, % |
В,% |
|
0.0 |
85 |
15 |
|
0.2 |
85 |
15 |
|
2.0 |
5 |
95 |
|
7.0 |
5 |
95 |
|
7.1 |
85 |
15 |
|
11.0 |
85 |
15 |
|
Mobile phase: 10mM ammonium formate aqueous solution - А, methanol – В |
||
Mass-spectrometry detection was performed using electrospray ionization (ESI) in both polarities. ESI voltage in positive mode was 5000V, in negative mode was -4000V. The MRM-transitions of analytes and internal standards are shown in Table 3. OHSA was used for calculation concentration of ODASA, M1 and M2; TFISA-M3 was used for calculating the concentration of M3.
|
Table 3. |
|||
|
The mass-spectrometry detection parameters |
|||
|
№ |
Analyte |
SRM-transition |
Polarity |
CE, eV |
|
|
Q1 |
Q3 |
||||
|
1 |
ODASA |
240 |
184 |
positive |
45 |
|
2 |
ODASA (Control) |
240 |
198 |
positive |
38 |
|
3 |
M1 |
256 |
184 |
positive |
40 |
|
4 |
M1 (Control) |
256 |
120 |
positive |
40 |
|
5 |
M2 |
256 |
160 |
positive |
25 |
|
6 |
M2 (Control) |
256 |
104 |
positive |
50 |
|
7 |
M3 |
239 |
182 |
negative |
-25 |
|
8 |
M3 (Control) |
239 |
118 |
negative |
-32 |
|
9 |
OHSA |
268 |
187 |
positive |
30 |
|
10 |
TFISA-M3 |
282 |
136 |
negative |
-55 |
|
|
№1,3,5,7 were used for quantification, №2,4,6,8 - were used for proof of correctness of identification |
||||
Note: ODASA – 4-(5-methyl-1,3,4-oxadiazole-2-yl)-benzenesulfonamide; M1 – 4-[5-(hydroxymethyl)-1,3,4-oxadiazol-2-yl]-benzenesulfonamide; M2 – N-hydroxy-4-(5-methyl-1,3,4-oxadiazol-2-yl)-benzenesulfonamide; M3 – 4-(5-methyl-1,3,4-oxadiazole-2-yl)-benzenesulfonic acid; OHSA – 4-(3-methyl-6-oxo-5,6-dihydropyridazin-1(4H)-yl)-benzenesulfonamide; TFISA-M3 – 5-[5-(trifluoromethyl)-1,2-oxazole-3-yl]-furan-2-sulfonic acid.
Validation was carried out using the requirements of the guideline of the Eurasian Economic Union (Eurasian Economic Commission 2016) and the ICH M10 Guideline (European Medicines Agency 2022). All tests for chromatographic methods were performed.
Animals
The study was performed on 6 Wistar rats (SMK Stezar LLC pound, Russian Federation). The group consisted of 3 males and 3 females. Weight of rats was 249.8±2.6 g (M±SEM), age was 16 weeks.The experiment was approved by the Ethics Committee of YSPU named after K.D. Ushinsky (Minutes №2 of 06 March 2024).
Design of pharmacokinetic part
The ocular suspension of ODASA at a concentration of 1% was instilled in each eye at a volume of 20 µL (1.6 mg/kg) as in the plasma pharmacokinetic study (Khokhlov et al. 2024). Metabolic cages were used for sampling excreta. Urine and feces were collected at the following time intervals:· Urine collection: before administration and in the intervals of 0-4 h, 4-8 h, 8-12 h, 12-24 h, 24-48 h, 48-72 h, 72-96 h, 96-120 h, 120-144 h, 144-168 h, 168-192 h, 192-216 h, 216-240 h, 240-264 h, 264-288 h, 288-312h, 312-336 h, 336-360 h, 360-384 h after administration;
· Feces collection: before administration and in the intervals of 0-24 h, 24-48 h, 48-72 h, 72-96 h, 96-120 h, 120-144 h, 144-168 h, 168-192 h, 192-216 h, 216-240 h, 240-264 h, 264-288 h, 288-312 h, 312-336 h, 336-360 h, 360-384 h after administration.
The urine volume was measured using a measuring cylinder with a volume of 10 mL or 25 mL (Accuracy class 1), and an aliquot of 200 µL was stabilized by 40 µL of 10% ascorbic acid solution after end of each sampling interval. Feces were weighed (with an accuracy of 0.1 mg) and homogenized in methanol in a volume ratio of 1:3. Then the samples of stabilized urine and fecal homogenates were frozen and stored at a temperature no higher than -70° C until analysis.The analyte content in the urine or feces sample was calculated in ng (1):
m(A)=C(A)×V (1),
where m(A) – mass of analyte which excreted in urine or feces during the collection interval; C(A) – analyte concentration in the sample (ng/mL – urine; ng/g – feces); V – volume of urine (mL) or mass of feces (g) excreted during the collection interval.
The mass of M3 during all pharmacokinetic calculations was recalculated to mass of M2 (2) because the sulfonic acid derivative is not an ODASA biotransformation product ((Khokhlov et al. 2024). It is formed by the decomposition of N-hydroxymetabolite during sampling. The quantities of the unchanged M2 and M2 in the form of M3 were summed.
m(M2)= (m(M3)*255)/240 (2),
where m(M2) – M2 mass which was decomposed M3; m(М3) – M3 mass which was measured in excreta.
The masses of M1 and M2 were recalculated to the mass of ODASA for plotting of cumulative excretion (Me) graph (Fig.3) and calculating the percent ratio of excreted analytes (3).
m(M)ODASA = m(M)/(M(M))×M(ODASA) (3),
where m(M)ODASA – mass of М1 or М2 in terms of ODASA mass; m (M) – mass of M1 or M2 which was excreted over the collection interval or over complete sampling time; М(ODASA) – molar mass of ODASA.
The percent ratio of ODASA, M1 and M2 in the total number of eliminated compounds was calculated using formula 4:
%(А)= (m(A))/(〖m(ODASA)〗_ur+m(M1)_ur+m〖(M2)〗_ur+〖m(ODASA)〗_fe+m(M1)_fe+m〖(M2)〗_fe ) (4),
where %(А) – the percentage of ODASA, M1 or M2 which was excreted in urine or feces, or in total with urine and feces; m(А) – ODASA mass and M1 or M2 mass in terms of ODASA which were excreted for 384 hours after suspension instillation in urine or feces, or in total with urine and feces; m(ODASA)ur/fe – the total mass of ODASA which was excreted for 384 hours after suspension instillation in urine/feces; m(M1/M2)ur/fe – the total mass of M1/M2 in terms of TFISA mass which was excreted for 384 hours after instillation of the suspension in urine/feces.
The excretion rate (VE) was calculated without recalculating the mass of M1 and M2 to the mass of ODASA (5):
VE= (m(A))/T (5),
where VE – excretion rate, ng/h; m(A) – mass of analyte measured in the excreta during the collection interval, ng; T – duration of the collection interval, h.
Statistical analysis
Descriptive statistics were calculated using software package Statsoft Statistica 10.0.1011. Microsoft Excel 2016 was used to build graphs. The results of the excretion study are presented as arithmetic averages (M) with standard error of the mean (SEM) as a measure of the dispersion.
In the process of validation and analysis of the test samples, the calibration curves of the ”analyte/internal standard” peak area ratio ODASA and metabolites from their concentration were constructed using weighted regression analysis with MultiQuant 3.0.5 software. The average value of the relative error of the obtained concentrations was calculated to confirm accuracy of the methods; coefficient of variation (CV) of the obtained concentrations was calculated to confirm precision of the methods. Separate calculations were performed for each concentration level (LLOQ, LQC, MQC, HQC) during intra-batch tests. These results were combined for inter-batch evaluation. The matrix effect was estimated using the CV of the normalized matrix factor because calibration curves were constructed using the internal standard method.
Results and Discussion
The negative polarity was used for quantification of M3 due to low sensitivity in positive mode. The second internal standard sulfonic acid derivate TFISA-M3 was applied because analytical signal of OHSA was absent under negative ionization conditions. The chromatographic parameters for plasma analysis (Khokhlov et al. 2024) could not be used for urine and feces samples: there was insufficient resolution between chromatographic peaks of ODASA and M3 on MRM-transitions 239→182 m/z, 239→118 m/z. Therefore, the gradient program and aqueous component of the mobile phase were changed (Table 2). The new conditions allowed to selective determinate of all studied compounds (Fig. 2). Aqueous solution of ascorbic acid at concentration of 10% was added to urine to prevent M1 decomposition. Any stabilization of fecal samples after homogenization with methanol was not required.
Figure 2. The example of the chromatogram of urine calibration sample K5. Note: ODASA – 4-(5-methyl-1,3,4-oxadiazole-2-yl)-benzenesulfonamide; M1 – 4-[5-(hydroxymethyl)-1,3,4-oxadiazol-2-yl]-benzenesulfonamide; M2 – N-hydroxy-4-(5-methyl-1,3,4-oxadiazol-2-yl)-benzenesulfonamide; M3 – 4-(5-methyl-1,3,4-oxadiazole-2-yl)-benzenesulfonic acid; OHSA – 4-(3-methyl-6-oxo-5,6-dihydropyridazin-1(4H)-yl)-benzenesulfonamide; TFISA-M3 – 5-[5-(trifluoromethyl)-1,2-oxazole-3-yl]-furan-2-sulfonic acid.
The chromatographic peaks of endogenous compounds with retention times of the analytes and internal standards were not detected on chromatograms of blank urine and feces samples during selectivity evaluation. Linear dependence of analytical signals on concentration was proven for ODASA, M1, M2, and M3. The relative error (δ) of quantification of the studied compounds did not exceed ±15% (±20% for samples with concentrations at the lower limit of quantification (LLOQ)) and coefficient of variation of results did not exceed 15% (20% for LLOQ samples) during tests of intra-batch and inter-batch accuracy and precision, dilution integrity for both methods (Tables 4 and 5). The CV value of the normalized matrix factor (NMF) of ODASA, M1, M2, and M3 was less than 15% after analysis of urine and fecal samples which were obtained from 6 different animals. This meets the established requirements (Eurasian Economic Commission 2016; European Medicines Agency 2022).
|
Table 4. |
Download as |
||
|
The validation results of the method of quantification of studied compounds in rat urine |
|||
|
Parameter |
ODASA |
M1 |
М2 |
M3 |
||||||
|
Calibration curve |
Range |
10-10000 ng/mL |
10-10000 ng/mL |
1-1000 ng/mL |
5-5000 ng/mL |
|||||
|
Function |
linear |
linear |
linear |
linear |
||||||
|
Weighting factor |
1/x |
1/x |
1/x |
1/x |
||||||
|
Accuracy and precision |
δ, % |
CV,% |
δ, % |
CV,% |
δ, % |
CV,% |
δ, % |
CV,% |
||
|
Batch 1 (n=6*) |
LLOQ |
-2.68 |
9.89 |
2.02 |
12.24 |
5.33 |
11.15 |
2.03 |
8.05 |
|
|
LQC |
2.63 |
9.09 |
6.02 |
6.34 |
3.83 |
7.63 |
4.18 |
7.91 |
||
|
MQC |
0.32 |
9.49 |
6.82 |
7.66 |
5.33 |
6.70 |
5.99 |
5.44 |
||
|
HQC |
2.67 |
5.79 |
3.84 |
3.72 |
2.78 |
3.16 |
1.89 |
5.12 |
||
|
Batch 2 (n=6*) |
LLOQ |
-2.95 |
10.11 |
-2.42 |
9.86 |
-1.83 |
13.04 |
-0.87 |
10.91 |
|
|
LQC |
0.73 |
6.77 |
2.87 |
6.29 |
1.44 |
7.56 |
1.22 |
6.96 |
||
|
MQC |
2.88 |
8.36 |
-2.48 |
7.91 |
5.43 |
7.11 |
-6.54 |
4.18 |
||
|
HQC |
4.30 |
4.68 |
1.33 |
4.86 |
2.71 |
2.95 |
-7.67 |
4.53 |
||
|
Batch 3 (n=6*) |
LLOQ |
6.93 |
7.22 |
0.45 |
9.12 |
2.17 |
13.18 |
0.93 |
6.52 |
|
|
LQC |
2.03 |
5.03 |
1.17 |
8.40 |
2.89 |
5.75 |
1.48 |
4.38 |
||
|
MQC |
3.76 |
6.07 |
2.48 |
8.70 |
0.31 |
7.05 |
-6.54 |
4.18 |
||
|
HQC |
1.25 |
4.39 |
1.15 |
4.85 |
1.64 |
3.73 |
1.36 |
7.28 |
||
|
Inter-batch accuracy and precision (n=18*) |
LLOQ |
0.43 |
9.73 |
0.02 |
10.07 |
1.89 |
12.07 |
0.70 |
8.22 |
|
|
LQC |
1.80 |
6.79 |
3.35 |
6.92 |
2.72 |
6.68 |
2.29 |
6.36 |
||
|
MQC |
2.32 |
7.72 |
2.27 |
8.52 |
3.69 |
6.95 |
-2.36 |
7.65 |
||
|
HQC |
2.74 |
4.85 |
2.11 |
4.40 |
2.38 |
3.14 |
-1.47 |
7.15 |
||
|
Reinjection reproducibility (48 h) |
LLOQ |
-2.42 |
3.95 |
-2.5 |
7.73 |
1.00 |
11.18 |
0.60 |
7.33 |
|
|
LQC |
0.57 |
7.34 |
1.46 |
6.98 |
3.61 |
5.28 |
2.70 |
5.80 |
||
|
MQC |
0.94 |
11.17 |
5.85 |
7.21 |
3.58 |
7.65 |
2.05 |
5.86 |
||
|
HQC |
1.54 |
3.67 |
5.69 |
5.11 |
3.85 |
2.77 |
-0.15 |
3.94 |
||
|
Dilution integrity (n=6) |
Dil |
7.83 |
2.07 |
6.66 |
3.84 |
5.40 |
5.07 |
3.53 |
4.96 |
|
|
Matrix effect (CV (NMF), %) |
LQC |
8.69 |
4.72 |
7.57 |
5.88 |
|||||
|
HQC |
4.36 |
8.42 |
6.07 |
6.48 |
||||||
|
*number of samples at each concentration level |
||||||||||
Note: ODASA – 4-(5-methyl-1,3,4-oxadiazole-2-yl)-benzenesulfonamide; M1 – 4-[5-(hydroxymethyl)-1,3,4-oxadiazol-2-yl]-benzenesulfonamide; M2 – N-hydroxy-4-(5-methyl-1,3,4-oxadiazol-2-yl)-benzenesulfonamide; M3 – 4-(5-methyl-1,3,4-oxadiazole-2-yl)-benzenesulfonic acid; LLOQ – lower limit of quantification; LQC, MQC, HQC – quality control samples of the lower, middle and upper levels; Dil – samples for dilution integrity test, NMF- normalized matrix factor.
|
Table 5. |
Download as |
||
|
The validation results of the method of quantification of studied compounds in rat feces |
|||
|
Parameter |
ODASA |
M1 |
М2 |
M3 |
||||||
|
Calibration curve |
Range |
10-10000 ng/g |
10-10000 ng/g |
1-1000 ng/g |
5-5000 ng/g |
|||||
|
Function |
linear |
linear |
linear |
linear |
||||||
|
Weighting factor |
1/x |
1/x |
1/x |
1/x |
||||||
|
Accuracy and precision |
δ, % |
CV,% |
δ, % |
CV,% |
δ, % |
CV,% |
δ, % |
CV,% |
||
|
Batch 1 (n=6*) |
LLOQ |
1.02 |
9.93 |
5.17 |
10.77 |
3.67 |
12.07 |
2.43 |
12.88 |
|
|
LQC |
1.91 |
7.16 |
5.68 |
6.05 |
1.06 |
6.18 |
4.28 |
5.43 |
||
|
MQC |
4.44 |
4.91 |
3.90 |
7.92 |
2.62 |
3.75 |
3.72 |
8.98 |
||
|
HQC |
2.36 |
3.69 |
2.21 |
3.72 |
1.66 |
2.76 |
0.64 |
3.92 |
||
|
Batch 2 (n=6*) |
LLOQ |
3.75 |
7.98 |
0.23 |
12.00 |
-3.50 |
9.05 |
0.57 |
10.97 |
|
|
LQC |
-2.47 |
5.64 |
0.54 |
7.87 |
2.56 |
8.86 |
4.61 |
6.54 |
||
|
MQC |
1.60 |
10.43 |
5.98 |
9.19 |
3.97 |
9.00 |
3.89 |
9.84 |
||
|
HQC |
1.94 |
4.05 |
1.68 |
5.02 |
0.88 |
4.15 |
0.87 |
3.34 |
||
|
Batch 3 (n=6*) |
LLOQ |
-5.95 |
9.10 |
0.03 |
8.76 |
2.17 |
11.17 |
4.63 |
7.89 |
|
|
LQC |
2.68 |
9.66 |
7.77 |
5.01 |
1.83 |
7.00 |
4.47 |
6.88 |
||
|
MQC |
3.60 |
6.59 |
5.08 |
4.24 |
3.86 |
4.40 |
5.27 |
5.60 |
||
|
HQC |
1.25 |
2.98 |
1.83 |
3.84 |
1.84 |
3.94 |
1.09 |
5.56 |
||
|
Inter-batch accuracy and precision (n=18*) |
LLOQ |
-0.39 |
9.47 |
1.81 |
10.25 |
0.78 |
10.73 |
2.54 |
10.23 |
|
|
LQC |
0.71 |
7.62 |
4.66 |
6.68 |
1.81 |
7.02 |
4.45 |
5.93 |
||
|
MQC |
3.21 |
7.25 |
4.99 |
7.03 |
3.48 |
5.85 |
4.29 |
7.85 |
||
|
HQC |
1.85 |
3.41 |
1.91 |
3.98 |
1.46 |
3.47 |
0.87 |
4.12 |
||
|
Reinjection reproducibility (48 h) |
LLOQ |
3.63 |
9.41 |
2.33 |
11.49 |
3.83 |
10.43 |
3.27 |
4.22 |
|
|
LQC |
0.70 |
7.39 |
3.72 |
5.38 |
1.22 |
7.26 |
5.20 |
5.64 |
||
|
MQC |
3.12 |
4.37 |
4.98 |
5.88 |
1.89 |
2.97 |
2.96 |
5.01 |
||
|
HQC |
1.60 |
2.86 |
3.39 |
2.74 |
1.94 |
2.66 |
2.19 |
5.70 |
||
|
Dilution integrity (n=6) |
Dil |
1.46 |
5.71 |
1.23 |
5.36 |
3.16 |
5.07 |
0.92 |
6.85 |
|
|
Matrix effect (CV (NMF), %) |
LQC |
4.93 |
5.90 |
6.05 |
8.08 |
|||||
|
HQC |
3.47 |
6.69 |
7.18 |
6.78 |
||||||
|
*number of samples at each concentration level |
||||||||||
Note: ODASA – 4-(5-methyl-1,3,4-oxadiazole-2-yl)-benzenesulfonamide; M1 – 4-[5-(hydroxymethyl)-1,3,4-oxadiazol-2-yl]-benzenesulfonamide; M2 – N-hydroxy-4-(5-methyl-1,3,4-oxadiazol-2-yl)-benzenesulfonamide; M3 – 4-(5-methyl-1,3,4-oxadiazole-2-yl)-benzenesulfonic acid; LLOQ – lower limit of quantification; LQC, MQC, HQC – quality control samples of the lower, middle and upper levels; Dil – samples for dilution integrity test, NMF- normalized matrix factor.
The addition of a 10% solution of ascorbic acid to urine and the homogenization of feces with methanol prevented the decomposition of M1, but did not affect the quantification of other analytes. Analogous measures were used to prevent the degradation of similar to structure N-hydroxy-5-[5-(trifluoromethyl)-1,2-oxazole-3-yl]-furan-2-sulfonamide (TFISA-M1) in rat excrements (Yaichkov et al. 2025). Results of tests of short-term, long-term stability, stability after freezing and thawing, stability of prepared samples in the autosampler met the acceptance criteria for both studied objects (Table 6). Thus, deviation of the analyte concentration from the initial value was within the range of ±15% (Eurasian Economic Commission 2016). Accuracy and precision during reinjection of analytical batches with urine and fecal samples after 48 hours was maintained at the required level (Tables 4 and 5) (European Medicines Agency 2022).
|
Table 6. |
Download as |
||
|
The results of stability study of analytes in rat urine and feces homogenates |
|||
|
Test |
Short-term stability |
Stability after 3 cycles of freeze and thaw |
Stability of prepared samples in autosampler |
Long-term stability |
|||
|
Temperature mode |
Room temperature (24 h) |
no higher than -70 ºС (12 h) / Room temperature (4 h) |
no higher than +4 С (48 h) |
no higher than -70 С (30 days) |
|||
|
% of deviation from nominal value |
Urine |
ODASA |
LQC |
2.53 |
0.17 |
2.33 |
3.26 |
|
HQC |
2.18 |
1.23 |
1.46 |
0.20 |
|||
|
М1 |
LQC |
3.26 |
3.90 |
3.29 |
0.84 |
||
|
HQC |
1.58 |
0.20 |
2.09 |
-0.90 |
|||
|
М2 |
LQC |
3.39 |
-1.89 |
2.56 |
2.72 |
||
|
HQC |
2.82 |
2.45 |
2.32 |
1.75 |
|||
|
М3 |
LQC |
4.44 |
0.91 |
2.22 |
2.74 |
||
|
HQC |
2.32 |
1.68 |
4.12 |
2.49 |
|||
|
Feces homogenates |
ODASA |
LQC |
1.65 |
3.97 |
0.82 |
2.02 |
|
|
HQC |
3.03 |
2.42 |
1.58 |
2.51 |
|||
|
М1 |
LQC |
0.85 |
0.36 |
1.61 |
-1.18 |
||
|
HQC |
2.62 |
0.04 |
1.29 |
-0.66 |
|||
|
М2 |
LQC |
3.44 |
3.28 |
0.83 |
-1.83 |
||
|
HQC |
1.40 |
-0.37 |
-0.18 |
-0.84 |
|||
|
М3 |
LQC |
3.60 |
2.68 |
1.50 |
5.78 |
||
|
HQC |
-0.50 |
0.11 |
-0.87 |
-0.71 |
|||
|
Note: 6 samples were analyzed at each concentration level |
|||||||
Note: ODASA – 4-(5-methyl-1,3,4-oxadiazole-2-yl)-benzenesulfonamide; M1 – 4-[5-(hydroxymethyl)-1,3,4-oxadiazol-2-yl]-benzenesulfonamide; M2 – N-hydroxy-4-(5-methyl-1,3,4-oxadiazol-2-yl)-benzenesulfonamide; M3 – 4-(5-methyl-1,3,4-oxadiazole-2-yl)-benzenesulfonic acid; LQC, HQC – quality control samples of the lower and upper levels.
Rat samples were analyzed after successful validation of the methods. It was established that 80.27±1.68% of the absorbed drug was eliminated in the form of M1: 69.90±1.80% – in urine and 10.38±1.16% – in feces (Table 7). About 14% of ODASA was excreted unchanged by renal route and about 2% – by biliary and intestinal routes (Table 7). The N-hydroxymetabolite is minor. Its fractions in urine and fecal samples were less than 2%. At the same time, the most part of M2 was decomposed to M3 during the sampling, feces formation and residence in the urinary tract of rats. Thus, M2 was detected only in urine samples which were collected at short intervals of 0-4 h, 4-8 h, 8-12 h, and 12-24 h. This compound completely degraded to M3 over longer time periods. Similar, tostructure TFISA-M1 was also almost completely decomposed in rat excrement and was determined mainly indirectly by the sulfonic acid derivative (Yaichkov et al. 2025).
|
Table 7. |
Download as |
||
|
The percent ratio of excreted 4-(5-methyl-1,3,4-oxadiazole-2-yl)-benzenesulfonamide and its metabolite |
|||
|
Excrete |
Compound |
М±SEM, % |
CV,% |
|
Urine |
ODASA |
14.22±1.43 |
24.62 |
|
M1 |
69.90±1.80 |
6.31 |
|
|
M2 |
1.88±0.24 |
31.13 |
|
|
Total |
86.00±1.30 |
3.70 |
|
|
Feces |
ODASA |
2.07±0.33 |
39.63 |
|
M1 |
10.38±1.16 |
27.42 |
|
|
M2 |
1.55±0.15 |
23.60 |
|
|
Total |
14.00±1.30 |
22.73 |
|
|
Urine and feces (total) |
ODASA |
16.29±1.60 |
24.10 |
|
M1 |
80.27±1.68 |
5.13 |
|
|
M2 |
3.43±0.33 |
23.33 |
Note: ODASA – 4-(5-methyl-1,3,4-oxadiazole-2-yl)-benzenesulfonamide; M1 – 4-[5-(hydroxymethyl)-1,3,4-oxadiazol-2-yl]-benzenesulfonamide; M2 – N-hydroxy-4-(5-methyl-1,3,4-oxadiazol-2-yl)-benzenesulfonamide.
The maximum renal excretion rate was observed for all compounds at the interval 8-12 h after the administration (Fig. 3A). There was a sharp decrease of renal VE of ODASA and M2 from 12 h to 24 h of the experiment. A gradual downturn of urine excretion of this compounds was in the interval of 24-360 h (Fig. 3A). The VE of M1 through the kidneys decreased smoothly, with a second peak of an increase at the period of 120-144 h (Fig. 3A).
The highest intensity of fecal excretion of ODASA was observed on the 1st day of the experiment (Fig. 3B). The maximum VE of metabolites in feces occurred on the 2nd day after instillation due to the accumulation these analytes in red blood cells. An additional increase in fecal VE was observed in ODASA and M1 profiles (Fig. 3B) at the interval of 96-120 h. It is caused by enterohepatic recirculation of the active compound and its C-hydroxymetabolite which corresponds with the presence of a second rise in plasma concentration of these analytes at 96 h time point after the administration (Khokhlov et al. 2024).
Figure 3. The excretion rate of 4-(5-methyl-1,3,4-oxadiazole-2-yl)-benzenesulfonamide and its metabolites in urine (A) and feces (B). Note: ODASA – 4-(5-methyl-1,3,4-oxadiazole-2-yl)-benzenesulfonamide; M1 – 4-[5-(hydroxymethyl)-1,3,4-oxadiazol-2-yl]-benzenesulfonamide; M2 – N-hydroxy-4-(5-methyl-1,3,4-oxadiazol-2-yl)-benzenesulfonamide.
The half of Me of studied compound was observed in 48 h of experiment, which corresponds with its half-life time in plasma (Khohklov et al. 2024). The main part of ODASA and its metabolites were excreted in 192 h after administration (Fig. 4). The complete elimination was achieved after 360 h (Fig. 4). Concentrations of all analytes in excreta samples were below LLOQ of the methods at interval 360-384 h.
Figure 4. The cumulative excretion of 4-(5-methyl-1,3,4-oxadiazole-2-yl)-benzenesulfonamide in unchanged form and in the form of metabolites. Note: ODASA – 4-(5-methyl-1,3,4-oxadiazole-2-yl)-benzenesulfonamide; M1 – 4-[5-(hydroxymethyl)-1,3,4-oxadiazol-2-yl]-benzenesulfonamide; M2 – N-hydroxy-4-(5-methyl-1,3,4-oxadiazol-2-yl)-benzenesulfonamide.
Thus, most of ODASA was eliminated in the form of M1 by renal route. N-hydroxylation is a minor route of biotransformation of this drug. Thus, the percentage of M2 in cumulative excretion was about 3%. The similar to structure 5-[5-(trifluoromethyl)-1,2-oxazole-3-yl]-furan-2-sulfonamide (TFISA), on the contrary, mainly forms the N-hydroxysulfonamide TFISA-M1 during metabolism. The main route of elimination of TFISA is also renal (Yaichkov et al. 2025). Maximum rate of excretion of studied compounds in urine was observed in the interval of 8-12 h of sampling, and in feces – in the interval of 24-48 h of sampling. The Me of the ODASA and metabolites was achieved in 360 h after the suspension instillation. The full elimination of TFISA was observed after the same time period (Yaichkov et al. 2025).
Conclusion
The developed methods of quantification of 4-(5-methyl-1,3,4-oxadiazole-2-yl)-benzenesulfonamide and its metabolites in urine and feces of rats have been successfully validated. This guarantees accuracy of the obtained data. More than 80% of absorbed drug was eliminated in form of 4-[5-(hydroxymethyl)-1,3,4-oxadiazol-2-yl]-benzenesulfonamide, and about 16% – in the unchanged form. The fraction of N-hydroxy-4-(5-methyl-1,3,4-oxadiazol-2-yl)-benzenesulfonamide was less than 4%. The main excretion route of the studied compounds is renal: 14.22±1.43% in the form of ODASA, 69.90±1.80% in the form of M1, and 1.88±0.24% in the form of M2 (М±SEM). Lower contents of the investigated substances were measured in feces: 2.07±0.33% in the form of ODASA, 10.38±1.16% in the form of M1, and 1.55±0.15% in the form of M2. Complete elimination of the ODASA and its hydroxylation derivatives was observed after 15 days after administration.
Additional Information
Conflict of interest
The authors declare the absence of a conflict of interests.
Funding
The study was carried out within the framework of the State assignment of Yaroslavl State Pedagogical University named after K.D. Ushinsky for 2024 from the Ministry of Education of the Russian Federation on the topic ”Development of a ew Drug for the Treatment of Neurodegenerative Diseases Based on a Monoamine Oxidase Inhibitor” (Registry entry number 720000Ф.99.1.БН62АА12000).
Ethics statement
The experiment was approved by the Ethics Committee of YSPU named after K.D. Ushinsky (Minutes №2 of 06 March 2024).
Data availability
All of the data that support the findings of this study are available in the main text.
References
§ Almalki AH, Ali NA, Elroby FA, El Ghobashy MR, Emam AA, Naguib IA (2021) ESI–LC–MS/MS for therapeutic drug monitoring of binary mixture of pregabalin and tramadol: human plasma and urine applications. Separations 8(2): 21. https://doi.org/10.3390/separations8020021
§ Chen Y, Yang K, Liu S, Yu L, Wang R, Qin B (2025) Study on the excretion of a new antihypertensive drug 221s (2,9) in rats. Pharmaceuticals 18(8): 1138. https://doi.org/10.3390/ph18081138 [PubMed] [PMC]
§ Dong L, Liu W, Zhao X, Yu F, Xu Y, Su M (2022) Preclinical drug pharmacokinetic, tissue distribution and excretion profiles of the novel limonin derivate HY-071085 as an anti-inflammatory and analgesic candidate in rats and beagle dogs. Pharmaceuticals (Basel) 15(7): 801. https://doi.org/10.3390/ph15070801. [PubMed] [PMC]
§ Hu H, Xiao H, Bao H, Li M, Xue C, Li YT, Wang G, Chen S, Huang Y, Zheng L, Wang A, Li YJ, Gong ZP (2020) Tissue distribution comparison of six active ingredients from an eucommiae cortex extract between normal and spontaneously hypertensive rats. Evidence-Based Complementary and Alternative Medicine 2020: 2049059. https://doi.org/10.1155/2020/2049059 [PubMed] [PMC]
§ European Medicines Agency (2022) ICH Guideline M10 on Bioanalytical Method Validation And Study Sample Analysis, The Netherlands, Amsterdam, 45 pp.
§ Khokhlov AL, Yaichkov II, Shetnev A А, Korsakov MK, Volkhin N N, Petukhov SS, Tyushina A N, Lasaryanz O E (2024) The evaluation of pharmacokinetic parameters of 4-(5-methyl-1,3,4-oxadiazole-2-yl)-benzenesulfonamide and its metabolites in rat plasma. Research Results in Pharmacology 10(4): 67–76. https://doi.org/10.18413/rrpharmacology.10.523
§ G KK, Thaggikuppe Krishnamurthy P, Ammu V V V RK, Vishwanath K, Narenderan ST, Babu B, Krishnaveni N (2021) Development and validation of a sensitive LC-MS/MS method for pioglitazone: application towards pharmacokinetic and tissue distribution study in rats. RSC Advances. 11(19): 11437–11443. https://doi.org/10.1039/d1ra01126j [PubMed] [PMC]
§ Lu T, Wang X, Zhang Q, Liu K, Xu T, Wang Q, Zhao P, Cheng Z (2023) Validated LC-MS/MS method for quantitation of solasodine in rat urine and feces: Blocking nonspecific adsorption. Acta Chromatographica 35(4): 319–325. https://doi.org/10.1556/1326.2022.01079
§ Lu Y, Li N, Zhu X, Pan J, Wang Y, Lan Y, Li Y, Wang A, Sun J, Liu C (2021) Comparative analysis of excretion of six major compounds of Polygonum orientale L. extract in urine, feces and bile under physiological and myocardial ischemia conditions in rats using UPLC-MS/MS. Biomedical Chromatography 35 (10): e5174. https://doi.org/10.1002/bmc.5174 [PubMed]
§ Eurasian Economic Commission (2016) On Approval of the Rules for Conducting Bioequivalence Studies on Medicines in the Eurasian Economic Union. Decision of the Council of the Eurasian Economic Commission № 85 of November 3. [in Russian]
Author Contributions
§ Alexander L. Khokhlov, Doctor Habil. of Medical Sciences, Professor, Member of The Russian Academy of Sciences, Head of the Department of Pharmacology and Clinical Pharmacology, rector of Yaroslavl State Medical University, Yaroslavl, Russia; e-mail: al460935@yandex.ru; ORCID ID: https://orcid.org/0000-0002-0032-0341. The author’s contribution: formulation and development of the aim and objectives; analysis and interpretation of the obtained data; critical review of the draft copy and provision of valuable comments.
§ Ilya I. Yaichkov, Candidate of Pharmaceutical Sciences, research fellow of the Department of Analytical Development and Quality Control of M.V. Dorogov Pharmaceutical Technology Transfer Center of Yaroslavl State Pedagogical University named after K.D. Ushinsky; research fellow of the Institute of Pharmacy of Yaroslavl State Medical University, Yaroslavl, Russia; e-mail: i.yaichkov@yspu.org; ORCID ID: https://orcid.org/0000-0002-0066-7388. The author’s contribution: concept development; development of design of pharmacokinetic study; development of bioanalytical methods; analysis of samples; analysis and interpretation of the obtained data; writing the bioanalytical part and editing the manuscript.
§ Anton A. Shetnev, Candidate of Chemical Sciences, Head of the Department of Pharmaceutical Development of M.V. Dorogov Pharmaceutical Technology Transfer Center of Yaroslavl State Pedagogical University named after K.D. Ushinsky, Yaroslavl, Russia; e-mail: a.shetnev@list.ru; ORCID ID: https://orcid.org/0000-0002-4389-461X. The author’s contribution: synthesis of substances of the drug and its metabolite.
§ Mikhail K. Korsakov, Doctor Habil. of Chemical Sciences, Professor of the Department of Chemistry, Theory and Methods of Teaching Chemistry, Head of The Center of Transfer of Pharmaceutical Technology named after M.V. Dorogov of Yaroslavl State Pedagogical University named after K.D. Ushinsky, Yaroslavl, Russia; e-mail: m.korsakov@yspu.org; ORCID ID: https://orcid.org/0000-0003-0913-2571. The author’s contribution: formulation and development of the aim and objectives; analysis and interpretation of the obtained data; critical review of the draft copy and provision of valuable comments.
§ Nikita N. Volkhin, assistant lecturer of the Department of Pharmacology and Clinical Pharmacology of Yaroslavl State Medical University; junior research fellow of the Department of Pharmacological Studies of M.V. Dorogov Pharmaceutical Technology Transfer Center of Yaroslavl State Pedagogical University named after K.D. Ushinsky, Yaroslavl, Russia; e-mail: nnvolkhin@ysmu.ru; ORCID ID: https://orcid.org/0000-0002-4275-9037. The author’s contribution: working with laboratory animals; blood and plasma sample collection.
Copyright (c) 2025 Khokhlov AL, Yaichkov II, Shetnev AA, Korsakov MK, Volkhin NN

This work is licensed under a Creative Commons Attribution 4.0 International License.
