The prefrontal cortex as a target for the atypical antipsychotic RU-31 with 5-HT2A antagonistic activity in the treatment of cognitive symptoms
Konstantin Y. Kalitin1,2,3, Olga Y. Mukha1,2, Viktor B. Voynov3, Alexander A. Spasov1,2
1Volgograd State Medical University, 1 Pavshikh Bortsov Sq., Volgograd 400131 Russia
2Scientific Center for Innovative Drugs, 39 Novorossiyskaya St., Volgograd 400087 Russia
3Southern Federal University, 105/42 Bolshaya Sadovaya St., Rostov-on-Don 344006 Russia
Corresponding author: Olga Y. Mukha (olay.myha14@gmail.com)
Abstract
Introduction: Cognitive deficits in schizophrenia are poorly managed by current antipsychotics, making the 5-HT2A receptor a promising therapeutic target, given its influence on dopaminergic signaling in the prefrontal cortex (PFC) and its involvement in cognitive processes. RU-31 (1-(2-diethylaminoethyl)-2-(4-methoxyphenyl)-imidazo[1,2-a]benzimidazole), a selective 5-HT2A antagonist, may offer cognitive benefits without the side effects associated with traditional dopamine-targeted therapies.
Materials and Methods: We evaluated RU-31 in Sprague-Dawley rats using molecular modeling, in vivo behavioral testing, and ex vivo electrophysiology. Molecular docking and dynamics simulations assessed the binding properties of RU-31 to the 5-HT2A receptor. The prepulse inhibition (PPI) paradigm (n=40) was used to test sensorimotor gating following a single RU-31 microinjection into the PFC. Patch-clamp recordings (n=32) from PFC pyramidal neurons were used to investigate RU-31's effects on serotonergic signaling.
Results: Molecular modeling indicated a strong binding affinity of RU-31 to the 5-HT2A receptor (100 ns). RU-31 (30 μg) restored PPI levels by 34.94% (p<0.05) following ketamine-induced deficits, suggesting an improvement in sensorimotor gating. In patch-clamp recordings, RU-31 (10 μM) significantly reduced 5-HT-mediated outward currents in layer 6 pyramidal neurons by 59.11% to 20.54 pA (SEM=7.12; SD=20.14; p<0.0211), indicating potent 5-HT2A antagonism and potential enhancement of downstream signaling.
Conclusion: This study establishes RU-31 as a promising therapeutic agent for the cognitive symptoms of schizophrenia, demonstrating that it reverses deficits in sensorimotor gating and normalizes PFC neuronal activity through selective 5-HT2A antagonism.
Graphical abstract
Keywords: atypical antipsychotics, 5-HT2A receptors, benzimidazoles, molecular docking, molecular dynamics, patch clamp, prepulse inhibition, prefrontal cortex, schizophrenia, cognitive deficits
Introduction
The development of effective pharmacological agents to address cognitive impairments associated with schizophrenia remains a crucial challenge in psychiatric research (McCutcheon et al. 2023). Schizophrenia is characterized by a broad spectrum of symptoms, including positive symptoms (e.g., hallucinations, delusions), negative symptoms (e.g., social withdrawal, anhedonia), and cognitive deficits (Habtewold et al. 2020). These cognitive impairments, which affect memory, attention, and executive functioning, are some of the most disabling features of the disorder and significantly hinder social and occupational outcomes (Gebreegziabhere et al. 2022). While antipsychotic medications have shown efficacy in alleviating positive symptoms, their impact on cognitive deficits has been limited (Lobo et al. 2022). This has spurred an intensive search for compounds that can modulate the neurochemical pathways implicated in cognitive dysfunction in schizophrenia, specifically those that can regulate serotonergic signaling in the prefrontal cortex without producing the adverse effects often associated with traditional dopamine-receptor-targeted therapies (Singh et al. 2020; Howes et al. 2024).
The prefrontal cortex (PFC) plays a critical role in cognitive processes, and its dysfunction is well-documented in schizophrenia (Menon and D’Esposito 2022). Abnormal serotonergic and dopaminergic signaling within this region is thought to underlie many of the cognitive impairments observed in the disorder (Hanson et al. 2022). The 5-HT2A receptor, a key component of the serotonergic system, has emerged as a promising target for therapeutic intervention due to its role in modulating dopaminergic transmission and its involvement in neurocognitive pathways linked to attention, working memory, and decision-making (Nikolaus et al. 2024). Antagonism of the 5-HT2A receptor has been shown to enhance cognitive functions by modulating excitatory and inhibitory neurotransmission within the PFC, indirectly influencing dopaminergic activity. This mechanism underpins the action of atypical antipsychotics like clozapine, which partially restores cognitive function without producing the extrapyramidal side effects associated with typical antipsychotics, such as haloperidol. Consequently, selective 5-HT2A receptor antagonists that avoid significant dopamine receptor blockade represent a potentially novel strategy for mitigating cognitive deficits in schizophrenia.
Compound RU-31 (1-(2-diethylaminoethyl)-2-(4-methoxyphenyl)-imidazo[1,2-a]benzimidazole) has garnered interest in recent years for its psychopharmacological properties and affinity for serotonin receptors (Kalitin et al. 2022). Given these pharmacodynamic properties, RU-31, a selective 5-HT2A receptor antagonist, has been hypothesized to ameliorate cognitive deficits associated with dysregulated serotonergic activity in the PFC. By targeting the 5-HT2A receptor, RU-31 may influence sensorimotor gating and cognitive functions, potentially addressing the fundamental neurochemical imbalances in schizophrenia without triggering the adverse effects linked to traditional dopaminergic drugs.
This study was designed to provide a comprehensive assessment of RU-31’s pharmacological and behavioral effects, with a particular focus on its capacity to improve cognitive function in preclinical models of schizophrenia.
Materials and Methods
Drugs
This study investigated the effects of 1-(2-diethylaminoethyl)-2-(4-methoxyphenyl)-imidazo[1,2-a]benzimidazole (RU-31). Haloperidol (Organics, Russia) and clozapine (Gedeon Richter, Hungary) were used as reference compounds; an NMDA receptor antagonist, ketamine (Federal State Unitary Enterprise “Moscow Endocrine Plant,” Russia), was used to model cognitive impairments in animals; serotonin hydrochloride (Sigma, USA) was applied in patch clamp to stimulate ionic currents.
Haloperidol and clozapine were selected as reference compounds because they represent contrasting pharmacological strategies in antipsychotic therapy. Haloperidol, a typical antipsychotic, acts almost exclusively through high affinity antagonism at D2 receptors, whereas clozapine, an atypical antipsychotic, combines potent 5‑HT2A antagonism with moderate D2 blockade and partial 5‑HT1A agonism. This comparison allows the effects of RU-31’s selective serotonergic action to be clearly differentiated from those produced by dopaminergic or mixed-action drugs, thereby validating the experimental models and underscoring the clinical relevance of the findings.
Animals
Adult male Sprague Dawley rats (n = 72), weighing 260–280 g, were used in the experiments. The animals were housed individually under a 12-hour light/dark cycle in a controlled temperature environment (22±2°C) with food and water provided ad libitum. The sample size was determined by an a priori power analysis (G*Power v3.1.9.7) to detect a medium effect size (Cohen’s f = 0.6) with 80% power at an alpha of 0.05, which indicated a minimum of eight animals per group. For the prepulse-inhibition experiment, forty rats were randomly assigned to five groups (n = 8): vehicle, ketamine, RU-31, haloperidol, or clozapine. For electrophysiological recordings, a separate cohort of thirty-two rats was randomly assigned to four groups (n = 8): 5-HT, RU-31, haloperidol, or clozapine. Randomization was performed using a computer-generated list to ensure unbiased group allocation. All procedures complied with the Principles of Good Laboratory Practice (GOST 33647-2015) and were approved by the Regional Research Ethics Committee of the Volgograd Region (IRB00005839 IORG0004900, minutes No. 2024/221, 3 April 2024).
Molecular modeling
The 5-HT2A receptor structure (PDB ID 6A94) was prepared using Schrödinger’s Protein Preparation Wizard, including the addition of hydrogen atoms, removal of water molecules, assignment of atomic charges, and completion of missing loops. The ligand was prepared using Schrödinger’s LigPrep module, with ionization states generated at pH 7.0±2.0 using the Epik module. Energy minimization for both the receptor and ligand was carried out using the OPLS4 force field.
Molecular docking was performed using Schrödinger’s Induced-Fit Docking module. The grid box was centered on the co-crystallized ligand zotepine. During docking, various ring conformations of the ligand were considered within an energy window of 2.5 kcal/mol. The van der Waals scaling coefficients for the receptor and ligand were set at 0.5 and 0.7, respectively. Residues within a 5 Å radius of the ligand were refined, followed by Glide redocking of structures within 30 kcal/mol of the best-scoring structure.
The molecular dynamics (MD) simulation was conducted using Schrödinger’s Desmond module. The protein-ligand complex was solvated with the TIP3P water model using the Desmond System Builder tool. An orthorhombic simulation box was created, extending at least 10 Å from the protein’s outer surface, with periodic boundary conditions applied. To neutralize the system, an appropriate number of Na ions were added, while maintaining isosmotic conditions with 0.15 M NaCl. The system then underwent energy minimization for 100 ps. The MD simulation was carried out under ambient pressure (1.013 bar) and a temperature of 300 K, with 1000 frames saved to the trajectory for 100 ns period. Analysis of the MD simulation included calculating the root-mean-square deviation (RMSD) and root-mean-square fluctuation (RMSF).
Prepulse inhibition
In this experiment, rats anesthetized with isoflurane received localized
microinjections of RU-31 (30 μg), haloperidol (5 μg), clozapine (20 μg), or vehicle (ACSF) directly into the medial prefrontal cortex (mPFC) with a Quintessential Stereotaxic Injector (QSI, Cat.
53311, Stoelting
Ten minutes post-administration, the animals received an intraperitoneal injection of ketamine (10 mg/kg) to induce cognitive impairment. Five minutes after ketamine administration, animals underwent a 10-minute acclimatization period in a chamber with continuous white noise at 65 dB. The startle response and prepulse inhibition (PPI) were subsequently evaluated in a custom-made PPI testing system, as described previously (Pelevin et al. 2023). To assess the startle response, animals were exposed to a 40-ms acoustic stimulus at 120 dB, and response amplitude was recorded. PPI was measured using a standard protocol: an acoustic prepulse (75 dB, 20 ms) was presented 100 ms prior to the main stimulus (120 dB, 40 ms). The PPI percentage was calculated by subtracting the startle reflex amplitude with the prepulse from the amplitude of the response to the main stimulus (without prepulse), dividing by the main stimulus response amplitude, and then multiplying by 100 to express the inhibition as a percentage. Five alternating measurements were taken from each animal, and average values were used.
Patch-clamp recordings
Coronal brain slices (400 μm, 2.34–0.74 mm from bregma) were prepared from male rats (8–12 weeks old) using a vibratome (Campden 7000smz-2, UK) at 4°C in oxygenated artificial cerebrospinal fluid (ACSF), containing 254 mM sucrose, 10 mM D-glucose, 24 mM NaHCO3, 2 mM CaCl2, 2 mM MgSO4, 3 mM KCl, and 1.25 mM NaH2PO4 (pH 7.4). Slices were then maintained in oxygenated ACSF (128 mM NaCl, 10 mM D-glucose, 26 mM NaHCO3, 2 mM CaCl2, 2 mM MgSO4, 3 mM KCl, 1.25 mM NaH2PO4; pH 7.4) at 30°C for at least 2 hours before experimentation.
Recovered slices were transferred to a perfusion chamber on the stage of a BX51 microscope (Olympus, Tokyo, Japan). The ACSF, aerated with 95% O2 and 5% CO2 at room temperature, was perfused at a rate of 2–3 mL/min. Layer 6 (L6) pyramidal neurons were identified based on morphological characteristics and electrophysiological properties. A recording electrode (2-4 MΩ), filled with 120 mM potassium gluconate, 5 mM KCl, 2 mM MgCl2, 4 mM K2-ATP, 0.4 mM Na2-GTP, 10 mM Na2-phosphocreatine, and 10 mM HEPES buffer (adjusted to pH 7.3 with KOH), was used to record the potential of L6 pyramidal neurons. Neuronal bioelectrical activity was amplified and recorded with an EPC10 amplifier (HEKA Elektronik, USA) and corrected for diffusion potential (14 mV). Data were acquired at 20 kHz and low-pass filtered at 3 kHz using PatchMaster software (HEKA Elektronik, USA).
To assess the effects of serotonin (5-HT) and antipsychotic compounds on L6 pyramidal neurons, ion current recordings were performed in the whole-cell configuration under voltage clamp at -75 mV. The 5-HT response was examined by applying serotonin hydrochloride (10 μM; 20 s) in the ACSF bath. Antipsychotic drugs (haloperidol, 15 μM; clozapine, 15 μM; RU-31, 10 μM) were applied via the perfusion system for a 10-minute period.
Statistical analysis
Prepulse-inhibition percentages were compared across treatment groups using a one-way ANOVA with Tukey’s post-hoc test. Whole-cell currents were pre-processed in Python/NumPy (v2.0.1) and analyzed with a one-way ANOVA followed by Dunnett’s test for comparisons against the 5-HT control. Data are presented as mean, SEM, and SD. Normality and equality of variances were verified with the Shapiro-Wilk and Brown-Forsythe tests, respectively (GraphPad Prism v10.1). Statistical significance was defined as p < 0.05.
Results
Molecular modeling
Molecular docking was conducted to predict the binding patterns and affinities between the 5-HT2A receptor (5-HT2AR) and the benzimidazole derivative RU-31, a 5-HT2A receptor antagonist. The compound occupies the lower region of the ligand-binding pocket, with the 4-methoxyphenyl moiety of RU-31 positioned between the receptor’s transmembrane helices TM4 and TM5. The benzimidazole ring resides in the lower hydrophobic cleft, while the tertiary nitrogen of the diethylaminoethyl group forms a salt bridge with Asp155, a residue conserved in aminergic receptors, including the 5-HT2A receptor (Fig. 1). The benzene ring of RU-31 establishes π-π stacking interactions with Trp336 and Phe340, and the imidazole ring further contributes to π-π stacking with Phe340 (Fig. 1). The binding energy for RU-31 was calculated to be -11.087 kcal/mol, indicating a strong affinity for the 5-HT2A receptor. Table 1 presents the binding energy parameters.
Figure 1. 2D and 3D diagram of the interaction between the compound RU-31 and the 5-HT2A receptor.
|
Table 1. |
Download as |
||
|
Energy of binding of compound RU-31 to the 5-HT2A receptor |
|||
|
Compound |
Docking score |
Glide score |
Glide emodel |
|
RU-31 |
-11.087 |
-11.087 |
-93.524 |
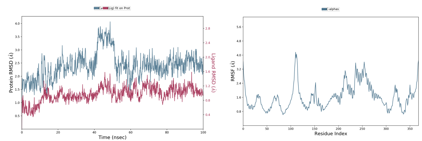
The complex with RU-31 reached equilibrium at 2.5 Å within 20 ns. Following initial stabilization, the protein’s RMSD increased between 40 and 52 ns, peaking at 4.16 Å, which may suggest transient conformational rearrangements in the receptor. The protein then stabilized again near 2.5 Å, indicating a return to its equilibrium conformation. The RMSD of the RU-31 ligand relative to the protein remained close to 1.0 Å, with a maximum RMSD of 1.6 Å (Fig. 2). RMSD analysis thus indicates that the 5-HT2AR complex with RU-31 remained stable throughout the 100 ns molecular dynamics simulation. Despite fluctuations in the protein RMSD, the ligand RMSD relative to the protein remained low and stable, indicating consistent ligand binding within the 5-HT2AR active site across the simulation.
Analysis of the RMSF for 5-HT2AR residues in complex with RU-31 provides insights into the conformational dynamics and stability of the ligand-receptor interaction (Fig. 2). The 5-HT2AR/RU-31 complex exhibited moderate fluctuations across most domains, with higher fluctuation peaks in the loop regions, particularly between residues 102–122 and 200–250, which are typically more mobile regions of the protein. RMSF analysis confirms that the complex remained stable throughout the molecular dynamics simulation.
Figure 2. RMSD and RMSF values for the 5-HT2AR/RU-31 complex during 100 ns molecular dynamics simulation.
Prepulse inhibition
The sound stimulus consisted of two components: a prepulse and a main pulse (Fig. 3A). The prepulse was a lower-intensity sound (75 dB) that preceded a higher-intensity main pulse (120 dB). Figure 3B presents a typical startle response elicited by a main pulse in the absence of a prepulse, while Figure 3C depicts the response to a stimulus with a prepulse.
Figure 3. Acoustic signal: prepulse with lower amplitude and main pulse with higher amplitude (A). Startle response to the main pulse without the prepulse (B) and response to the stimulus with the prepulse (C).
The control group exhibited a relatively high level of prepulse inhibition. Ketamine (51.8; SEM=1.59; SD=4.49) administration significantly reduced prepulse inhibition by 32.02% compared to the vehicle (76.2; SEM=3.55; SD=10.05) group (p<0.05). The administration of haloperidol (36.8; SEM=1.98; SD=5.58) into the prefrontal cortex further exacerbated the prepulse inhibition deficit (p<0.05), reducing the value by 28.96% compared to the ketamine-only group. In contrast, clozapine (56.44; SEM=4.87; SD=13.76) co-administered with ketamine slightly improved the prepulse inhibition index. Among the tested compounds, the experimental compound RU-31 (69.93; SEM=3.103; SD=8.78) showed the most substantial effect, restoring prepulse inhibition by 34.94%, bringing values close to those of the negative control (p<0.05) (Fig. 4).
Figure 4. Effect of haloperidol (5 μg), clozapine (20 μg), and compound RU-31 (30 μg) on prepulse inhibition following ketamine administration (10 mg/kg, i.p.), M±SEM. Note: ** – differences are statistically significant relative to the control group (p<0.005); **** – differences are statistically significant relative to the control group (p<0.0001); # – differences are statistically significant relative to the Ketamine group (p<0.05); ## – differences are statistically significant relative to the Ketamine group (p<0.005).
Patch-clamp recordings
At this stage, the electrophysiological effects of 5-HT on membrane currents of pyramidal neurons in the 6th layer (L6) of the medial prefrontal cortex of the rat brain were studied. Statistical analysis using one-way ANOVA demonstrated significant differences between experimental groups (F(3,28) = 4.088, p = 0.0159). Voltage-clamp recordings revealed reproducible outward currents (50.23 pA; SEM=7.21; SD=20.39 pA, n = 8; Fig. 5A) in response to 5-HT application (10 μM, 20 s). The administration of the typical antipsychotic haloperidol did not significantly alter the currents following 5-HT exposure (Fig. 5B). In contrast, the selective 5-HT2A receptor antagonist RU-31 (10 μM, 10 min) markedly reduced the 5-HT-mediated outward current in L6 pyramidal neurons, with a 59.11% decrease to 20.54 pA; SEM=7.12; SD=20.14 (p<0.0211, n = 8; Fig. 5D). A similar effect was observed following administration of the atypical antipsychotic clozapine (23.37 pA; SEM=6.41; SD=18.13, p<0.0395, n = 8; Fig. 5C).
Figure 5. Effect of antipsychotic agents on serotonin-induced hyperpolarization in L6 neurons of the medial prefrontal cortex. (A) Representative trace from the control group (5-HT, 10 μM); (B) Representative trace after co-application of 5-HT + haloperidol (15 μM); (C) Representative trace after co-application of 5-HT + clozapine (15 μM); (D) Representative trace after co-application of 5-HT + RU-31 (10 μM); (E) Average current values for 5-HT alone and with co-application of haloperidol, clozapine, and RU-31, M±SEM. Note: * – p<0.05
Discussion
This study assessed the molecular binding properties, in vivo neurobehavioral effects, and electrophysiological impact of the benzimidazole derivative RU-31, a selective 5-HT2A receptor antagonist, to explore its potential as an antipsychotic agent with relevance to schizophrenia-related cognitive deficits. In molecular docking studies, RU-31 exhibited a high binding affinity for the 5-HT2A receptor, interacting with specific key residues within the receptor’s binding site. These results support the hypothesis that a strong binding affinity within the 5-HT2A receptor pocket enables RU-31 to modulate serotonergic activity in the medial prefrontal cortex (mPFC), a region where serotonergic and dopaminergic interactions are critical for cognitive functions (De Deurwaerdère et al. 2021).
Molecular dynamics simulations of the RU-31/5-HT2AR complex further confirmed the stability of RU-31 binding. During the 100 ns simulation, RU-31 maintained a stable root-mean-square deviation (RMSD) relative to the receptor, while the receptor exhibited transient conformational fluctuations, particularly in loop regions. The ligand’s consistently low RMSD underscored its stable interaction with the receptor. Fluctuations within the receptor structure, as indicated by RMSF analysis, were interpreted as intrinsic protein dynamics rather than instability, affirming that RU-31 establishes a stable complex with the receptor over time.
The prepulse inhibition (PPI) paradigm was employed to examine the effects of RU-31 on sensorimotor gating, a process critically impaired in schizophrenia (Swerdlow and Light 2016). Ketamine administration, which models psychotomimetic activity via NMDA receptor antagonism, significantly reduced PPI, mirroring the sensorimotor gating deficits observed in schizophrenia (Frohlich and Van Horn 2014). The administration of haloperidol further exacerbated the PPI deficit, consistent with its known antagonistic effects on D2 receptors, highlighting the adverse impact of dopaminergic blockade in the prefrontal cortex. In contrast, RU-31 restored PPI levels nearly to baseline, suggesting its potential to mitigate PPI deficits through selective 5-HT2A receptor antagonism. The improvement in PPI supports the hypothesis that 5-HT2A antagonists can enhance dopaminergic transmission indirectly, thus addressing sensorimotor gating deficits associated with dopaminergic dysfunction in the prefrontal cortex. This effect was less pronounced with clozapine, which only partially mitigated ketamine-induced PPI deficits, possibly due to its broad receptor profile and partial modulation of dopaminergic and serotonergic pathways.
The robust restoration of PPI by RU-31 is likely mediated by its targeted modulation of the intricate serotonergic-dopaminergic interplay within the mPFC (Celada et al. 2013). Cognitive deficits in schizophrenia are strongly associated with a state of prefrontal hypodopaminergia, a condition that is modeled and exacerbated by ketamine administration. Serotonin, acting on 5-HT2A receptors that are densely expressed on both pyramidal neurons and GABAergic interneurons in the PFC (Mocci et al. 2014), exerts control over local dopamine release. By antagonizing 5-HT2A receptors, RU-31 likely disinhibits dopaminergic terminals, effectively lifting this ”serotonergic brake” and facilitating an increase in synaptic dopamine levels specifically within the PFC (Ichikawa et al. 2001). This localized enhancement of dopaminergic tone is critical for reinforcing the top-down control of cortico-striato-thalamic circuitry that underpins effective sensorimotor gating, thereby improving PPI (Bubser and Koch 1994). This mechanism stands in stark contrast to haloperidol, which further suppresses already compromised dopaminergic signaling, and explains why the selective action of RU-31 produces a more potent procognitive effect than the mixed-profile agent clozapine. Therefore, RU-31’s ability to selectively augment prefrontal dopamine transmission via 5-HT2A receptor blockade provides a compelling neurochemical basis for its observed improvement in sensorimotor gating.
Patch-clamp recordings provided crucial electrophysiological evidence for RU-31’s role in modulating neuronal activity. RU-31 significantly reduced 5-HT-mediated outward currents in layer 6 (L6) pyramidal neurons of the mPFC, demonstrating its potent antagonism at the 5-HT2A receptor. These findings indicate that RU-31 effectively inhibits serotonergic suppression of L6 pyramidal neurons, potentially enhancing downstream signaling necessary for maintaining cognitive function. The effects of RU-31 paralleled those of clozapine but not haloperidol, underscoring RU-31’s selectivity for the 5-HT2A receptor and its potential to modulate dopaminergic transmission without impacting basal dopaminergic activity. Since L6 pyramidal neurons influence attention and working memory by modulating GABAergic interneurons in layer 5 (L5) (Tian et al. 2016), RU-31’s antagonism of 5-HT2A receptors in these circuits may facilitate cognitive processes by stabilizing the balance between excitatory and inhibitory signaling.
These findings align with prior evidence suggesting that cognitive impairments in schizophrenia involve dysregulation, characterized by both reduced and excessive dopaminergic function in different brain regions (McLean et al. 2017). The selective 5-HT2A receptor blockade by RU-31, similar to the action of the atypical antipsychotic clozapine, may enhance dopaminergic transmission in the mPFC without causing the extrapyramidal side effects associated with typical antipsychotics like haloperidol (López-Gil et al. 2007; Bortolozzi et al. 2010). RU-31’s potential to increase dopamine release in the mPFC, supported by previous studies on other 5-HT2A antagonists, suggests that targeted serotonergic modulation could help compensate for hypodopaminergic states in the prefrontal cortex, a hallmark of cognitive deficits in schizophrenia.
The implications of these findings suggest that RU-31 could offer a novel therapeutic strategy for ameliorating cognitive deficits in schizophrenia. By selectively targeting 5-HT2A receptors, RU-31 may address the underlying neurochemical imbalances that contribute to cognitive dysfunction, offering an approach distinct from traditional dopamine-targeted therapies. The stabilization of prepulse inhibition and attenuation of 5-HT-induced currents within mPFC pyramidal neurons highlight the compound’s capacity to enhance sensorimotor gating and cognitive processing, making it a promising candidate for further studies in the context of cognitive disorders.
Conclusion
RU-31, as a selective 5-HT2A receptor antagonist, demonstrates potential as an innovative therapeutic candidate for addressing cognitive deficits in schizophrenia. By stabilizing prepulse inhibition and attenuating 5-HT-mediated currents in pyramidal neurons of the medial prefrontal cortex, RU-31 effectively modulates serotonergic signaling without inducing the adverse effects commonly associated with traditional antipsychotics. Its high affinity for the 5-HT2A receptor and stable binding dynamics, coupled with its capacity to indirectly enhance dopaminergic transmission, suggest that RU-31 could restore neurochemical balance and improve cognitive processes disrupted in schizophrenia. These findings provide a foundation for further exploration of RU-31 in clinical contexts aimed at enhancing cognitive function, positioning it as a promising agent in the treatment of cognitive impairments within psychiatric disorders.
Additional information
Conflict of interest
The authors declare the absence of a conflict of interests.
Funding
The authors have no funding to report.
Acknowledgments
The authors have no support to report.
Data availability
All of the data that support the findings of this study are available in the main text.
Ethics Statements
All the procedures with animals were considered and approved by the were approved by the Regional Research Ethics Committee of the Volgograd Region (IRB00005839 IORG0004900, minutes No. 2024/221, 3 April 2024).
References
§ Bortolozzi A, Masana M, Díaz-Mataix L, Cortés R, Scorza MC, Gingrich JA, Toth M, Artigas F (2010) Dopamine release induced by atypical antipsychotics in prefrontal cortex requires 5-HT(1A) receptors but not 5-HT(2A) receptors. The International Journal of Neuropsychopharmacology 13(10): 1299–1314. https://doi.org/10.1017/S146114571000009X [PubMed] [PMC]
§ Bubser M, Koch M (1994) Prepulse inhibition of the acoustic startle response of rats is reduced by 6-hydroxydopamine lesions of the medial prefrontal cortex. Psychopharmacology 113(3-4): 487–492. https://doi.org/10.1007/BF02245228 [PubMed]
§ Celada P, Puig MV, Artigas F (2013) Serotonin modulation of cortical neurons and networks. Frontiers in Integrative Neuroscience 7: 25. https://doi.org/10.3389/fnint.2013.00025 [PubMed] [PMC]
§ De Deurwaerdère P, Chagraoui A, Di Giovanni G (2021) Serotonin/dopamine interaction: Electrophysiological and neurochemical evidence. Progress in Brain Research 261: 161–264. https://doi.org/10.1016/bs.pbr.2021.02.001 [PubMed]
§ Frohlich J, Van Horn JD (2014) Reviewing the ketamine model for schizophrenia. Journal of Psychopharmacology (Oxford, England) 28(4): 287–302. https://doi.org/10.1177/0269881113512909
§ Gebreegziabhere Y, Habatmu K, Mihretu A, Cella M, Alem A (2022) Cognitive impairment in people with schizophrenia: an umbrella review. European Archives of Psychiatry and Clinical Neuroscience 272(7): 1139–1155. https://doi.org/10.1007/s00406-022-01416-6 [PubMed] [PMC]
§ Habtewold TD, Rodijk LH, Liemburg EJ, Sidorenkov G, Boezen HM, Bruggeman R, Alizadeh B Z (2020) A systematic review and narrative synthesis of data-driven studies in schizophrenia symptoms and cognitive deficits. Translational Psychiatry 10(1): 244. https://doi.org/10.1038/s41398-020-00919-x [PubMed] [PMC]
§ Hanson KL, Grant SE, Funk LH, Schumann CM, Bauman MD (2022) Impact of maternal immune activation on nonhuman primate prefrontal cortex development: insights for schizophrenia. Biological Psychiatry 92(6): 460–469. https://doi.org/10.1016/j.biopsych.2022.04.004 [PubMed] [PMC]
§ Howes OD, Bukala BR, Beck K (2024) Schizophrenia: from neurochemistry to circuits, symptoms and treatments. Nature Reviews. Neurology 20(1): 22–35. https://doi.org/10.1038/s41582-023-00904-0 [PubMed]
§ Ichikawa J, Ishii H, Bonaccorso S, Fowler WL, O’Laughlin IA, Meltzer HY (2001) 5-HT(2A) and D(2) receptor blockade increases cortical DA release via 5-HT(1A) receptor activation: a possible mechanism of atypical antipsychotic-induced cortical dopamine release. Journal of Neurochemistry 76(5): 1521–1531. https://doi.org/10.1046/j.1471-4159.2001.00154.x [PubMed]
§ Kalitin KY, Pridvorov GV, Spasov AA, Mukha OY (2022) Effect of clozapine and 5-HT2A-antagonist RU-31 on electroencephalography and motor activity of rats in a model of schizophrenia with neonatal destruction of the ventral hippocampus. Kuban Scientific Medical Bulletin 29(5): 108-122. https://doi.org/10.25207/1608-6228-2022-29-5-108-122
§ Lobo MC, Whitehurst TS, Kaar SJ, Howes OD (2022) New and emerging treatments for schizophrenia: a narrative review of their pharmacology, efficacy and side effect profile relative to established antipsychotics. Neuroscience and Biobehavioral Reviews 132: 324–361. https://doi.org/10.1016/j.neubiorev.2021.11.032 [PubMed]
§ López-Gil X, Babot Z, Amargós-Bosch M, Suñol C, Artigas F, Adell A (2007) Clozapine and haloperidol differently suppress the MK-801-increased glutamatergic and serotonergic transmission in the medial prefrontal cortex of the rat. Neuropsychopharmacology: official publication of the American College of Neuropsychopharmacology 32(10): 2087–2097. https://doi.org/10.1038/sj.npp.1301356 [PubMed]
§ McCutcheon RA, Keefe RS.E, McGuire PK (2023) Cognitive impairment in schizophrenia: aetiology, pathophysiology, and treatment. Molecular Psychiatry 28(5): 1902–1918. https://doi.org/10.1038/s41380-023-01949-9 [PubMed] [PMC]
§ McLean SL, Harte MK, Neill JC, Young AM (2017) Dopamine dysregulation in the prefrontal cortex relates to cognitive deficits in the sub-chronic PCP-model for schizophrenia: A preliminary investigation. Journal of Psychopharmacology (Oxford, England) 31(6): 660–666. https://doi.org/10.1177/0269881117704988 [PubMed]
§ Menon, V, D'Esposito M (2022) The role of PFC networks in cognitive control and executive function. Neuropsychopharmacology: official publication of the American College of Neuropsychopharmacology 47(1): 90–103. https://doi.org/10.1038/s41386-021-01152-w [PubMed] [PMC]
§ Mocci G, Jiménez-Sánchez L, Adell A, Cortés R, Artigas F (2014). Expression of 5-HT2A receptors in prefrontal cortex pyramidal neurons projecting to nucleus accumbens. Potential relevance for atypical antipsychotic action. Neuropharmacology 79: 49–58. https://doi.org/10.1016/j.neuropharm.2013.10.021 [PubMed]
§ Nikolaus S, Chao OY, Henke J, Beu M, Fazari B, Almeida FR, Abdel-Hafiz L, Antke C, Hautzel H, Mamlins E, Müller HW, Huston JP, von Gall C, Giesel FL (2024) 5-HT1A and 5-HT2A receptor effects on recognition memory, motor/exploratory behaviors, emotionality and regional dopamine transporter binding in the rat. Behavioural Brain Research 469: 115051. https://doi.org/10.1016/j.bbr.2024.115051 [PubMed]
§ Pelevin A, Kurzina N, Zavialov V, Volnova A (2023) A custom solution for acoustic startle response setup with spike2-based data acquisition interface. Methods and Protocols 6(3): 57. https://doi.org/10.3390/mps6030057 [PubMed] [PMC]
§ Singh S, Khanna D, Kalra S (2020) Role of neurochemicals in schizophrenia. Current Psychopharmacology 9(2): 144-161. https://doi.org/10.2174/2211556009666200401150756
§ Swerdlow NR, Light GA (2016) Animal models of deficient sensorimotor gating in schizophrenia: are they still relevant?. Current Topics in Behavioral Neurosciences 28: 305–325. https://doi.org/10.1007/7854_2015_5012 [PubMed]
§ Tian MK, Schmidt EF, Lambe EK (2016) Serotonergic suppression of mouse prefrontal circuits implicated in task attention. eNeuro 3(5): ENEURO.0269-16.2016. https://doi.org/10.1523/ENEURO.0269-16.2016 [PubMed] [PMC]
Authors Contribution
§ Konstantin Y. Kalitin, PhD, Associate Professor of the Department of Pharmacology and Bioinformatics, Volgograd State Medical University, Volgograd, Russia; Senior Researcher, Laboratory of Metabotropic Drugs, Scientific Center for Innovative Drugs, Volgograd State Medical University, Volgograd, Russia; Senior Researcher, Laboratory of Synaptic Biology (Priority 2030) of Southern Federal University, Rostov-on-Don, Russia; e-mail: kkonst8@yandex.ru; ORCID ID: https://orcid.org/0000-0002-0079-853X. Conceptualization, setting primary objectives, carrying out experimental procedures, analyzing and interpreting the data, writing the initial draft of the article, contributing to the overall structure and design, finalizing the article for submission, designing visual data representations, applying statistical, mathematical, and computational methods for data analysis.
§ Olga Y. Mukha, Assistant of the Department of Pharmacology and Bioinformatics, Volgograd State Medical University, Volgograd, Russia; Junior Researcher, Laboratory of Metabotropic Drugs, Scientific Center for Innovative Drugs, Volgograd State Medical University, Volgograd, Russia; e-mail: olay.myha14@gmail.com; ORCID ID: https://orcid.org/0000-0002-0429-905X. Task management, experimental work, literature review, data collection, drafting the manuscript, contributing to the scientific layout, ensuring the integrity and consistency of the entire article, including its final version; application of statistical, mathematical, and computational methods for data analysis, preparation of the final manuscript, interaction with the editors and reviewers.
§ Viktor B. Voynov, PhD, Chief Researcher at the Laboratory of Synaptic Biology (Priority 2030) of Southern Federal University, Rostov-on-Don, Russia; e-mail: vvoynov@sfedu.ru; ORCID ID: https://orcid.org/0000-0002-0242-6270. Literature review, drafting the manuscript, contributing to the scientific layout, ensuring the integrity and consistency of the entire article, including its final version; and preparation of the final manuscript.
§ Alexander A. Spasov, PhD, Professor, Full member of the of the Russian Academy of Sciences; Head of the Department of Pharmacology and Bioinformatics, Volgograd State Medical University, Volgograd, Russia; Head of the Department of Pharmacology and Bioinformatics, Scientific Center for Innovative Drugs, Volgograd State Medical University, Volgograd, Russia; e-mail: aaspasov@volgmed.ru; ORCID ID: https://orcid.org/0000-0002-7185-4826. Concept statement, supervision and mentorship, workflow control, critical revision with valuable intellectual investment, contributing to the overall structure and design, ensuring the integrity and consistency of the entire article.
Copyright (c) 2025 Kalitin KY, Mukha OY, Voynov VB, Spasov AA

This work is licensed under a Creative Commons Attribution 4.0 International License.
