A drug as a two-faced Janus: dose-effect, adverse events
Sofia Ya. Skachilova1, Ekaterina A. Simakina1, Andrey V. Denisenko2, Elena V. Shilova1, Anna L. Motailo3, Aleksey A. Khentov3
м, 23 Kirova St., Staraya Kupavna 142450 Russia
2D. Mendeleev University of Chemical Technology of Russia, 9 Miusskaya Sq., Bldg 1, Moscow 125047 Russia
3Belgorod State National Research University, 85 Pobedy St. Bldg. 10 Belgorod 308015 Russia
Corresponding author: Sofia Ya. Skachilova (skachilova@mail.ru)
Abstract
Introduction: In the pharmaceutical industry, the 21st century was marked by the creation of new highly effective drugs: synthetic, immunobiological, genetic engineering, etc. Pharmacotherapy with highly effective drugs leads to a detailed study of their safety and pharmacoepidemiological studies, both in our country and abroad.
Materials and Methods: The work used content analysis, monitoring of scientific articles using the databases PubMed, Scopus, Google Scholar, ResearchGate, analysis of the nomenclature of the State Register of Medicines of the Russian Federation (2017-2024) and the Register of Medicines of Russia (2017-2024).
Results and Discussion: Adverse drug reactions (ADRs). Adverse drug reactions (ADRs) are diverse in their clinical manifestations, mechanisms of action and frequency of occurrence. The main factors from the use of drugs that cause ADRs and influence on often irreversible complications. Safety of pharmacotherapy when using optically active drugs. Safety of pharmacotherapy when using antioxidants. Pharmacovigilance for monitoring and safety of medicinal products.
Conclusion: Irrational pharmacotherapy with highly effective drugs (antioxidants, optically active drugs) without taking into account individual doses leads to errors both by medical personnel and to errors in self-medication especially for the treatment of central nervous system diseases. The problem of safety of pharmacotherapy is solved with the introduction of rational pharmacovigilance and safety monitoring programs.
Graphical Abstract
Types of adverse reactions have been proposed:
Keywords: adverse drug reactions (ADRs), safety of pharmacotherapy, central nervous system diseases, enantiomers, antioxidants, individual doses, pharmacovigilance, monitoring
Introduction
The most important problem and priority task of medicinal chemistry and biopharmacy in most countries of the world is the creation of new highly effective drugs for the treatment of various diseases.
All over the world, the 21st century was marked by a fundamentally new organization of scientific research in various fields of knowledge, in particular in the pharmaceutical industry, with the creation of a huge number of new effective medicines: synthetic, immunobiological, genetically engineered, etc., aiming to use them for the targeted treatment of pathologies of various origins. This has made it possible to achieve success in various fields of medicine.
Currently, more than 20 thousand types of medicines are produced in the world in the form of various dosage forms. Some drugs have more than 50 synonyms and trademarks.
It is difficult not only for patients, but also for doctors to understand the choice of a drug, dose, and duration of treatment. Leading foreign and Russian clinicians speak out about the certain dangers of pharmacotherapy. Derrick Dunlop (UK) stated that “Modern medicines are like atomic energy, powerful for good but also potent for evil” (Dunlop 1969). Member of the Academy of Medical Sciences of the USSR B.E. Votchalsaid that “We live in an age when surgery is becoming safer, and pharmacotherapy is becoming more and more dangerous” (Kukes 2009).
The use of highly effective drugs has led to a detailed study of their safety and pharmacoepidemiological studies, both abroad and in Russia (Czeizel 2007; Astakhova et al. 2008).
Materials and Methods
The review used content analysis, monitoring of scientific articles using the databases PubMed, Scopus, Cyberleninka, Google Scholar, Research Gate, analysis of the nomenclature of the State Register of Medicines of the Russian Federation (2017-2024) and the Register of Medicines of Russia (2017-2024).
Results and Discussion
Adverse drug reactions
Assessing the safety of drugs is an extremely important problem in medicine. Early identification of adverse drug reactions (ADRs) and implementation of appropriate measures for their prevention greatly contribute to both improving the quality of treatment and improving the quality of life of patients, and avoiding the development of severe, sometimes fatal, adverse reactions of drug therapy (Astakhova et al. 2008). WHO defines ADRs as any unintentional and harmful reactions to the human body that occur when using drugs in normal doses for prophylaxis, treatment, diagnosis, and changes in physiological functions. According to WHO, in 2022, one in ten patients in clinical settings developed complications when treated with various drugs. Around the world, one person dies every day from medication errors. Preventing these mistakes is not only about saving money, but most importantly about preserving life and improving the quality of life.
ADRs for drugs are diverse in their clinical manifestations, mechanisms of action and frequency of occurrence. There is no unified classification of ADRs. Based on an analysis of the WHO program for drug safety monitoring, as well as publications of Russian and foreign clinical pharmacologists (Astakhova et al. 2008; Shokhin et al. 2015), the following types of adverse reactions have been proposed (Fig. 1).
Figure 1. Types of adverse reactions have been proposed.
Medicinal ADRs are adverse reactions associated with the pharmacological and toxic effects of a drug and its metabolites, often depending on the dose of the drug and its therapeutic index.
A number of drugs have a low therapeutic index: aminoglycosides, cytostatics, theophyllines, neuroleptics, etc. When using certain drugs, such as highly active neuroleptics, antidepressants, anticonvulsants, hypnotics, etc., individual dosage selection is necessary. These ADRs account for about 70% of all other ADRs.
ADRs caused by genetics and immunoallergy are not dose-related:
- immunological-allergic genesis is the result of the body’s interaction with a drug or its metabolite as an antigen; adverse reactions are often observed when using drugs with a peptide structure;
- genetic disorders of drug metabolism;
- polymorphism of some receptors also causes ADRs.
Metabolism of drugs in different ethnic groups is associated with polymorphism of some receptors. Belle and Singh (2008) provided the data on the polymorphism of leukotriene receptors in some populations: as a result, drugs acting on leukotriene receptors block the action of the 5-lipoxygenase enzyme and cause ADRs (drugs zafirlukast, montelukast, etc.).
It has also been established that in some populations the β2-adrenergic receptor has a different amino acid sequence from the usual ones – arginine, glycine, etc. In patients with polymorphic β2-adrenergic receptors, treatment with β2-adrenergic stimulants causes serious adverse reactions, with some examples having a fatal outcome (Skachilova et al. 2017). (Member of the Academy of Medical Sciences of the USSR B.E. Votchal in his lectures paid special attention to genetically determined ADRs (Kukes 2009). Deficiency of certain enzymes that metabolize drugs also causes a number of adverse reactions and various diseases.
Thus, glycogenosis, a hereditary disease of carbohydrate metabolism, is associated with insufficient amylo-1,4-1,6-glycosyltransferase enzyme in the body (Fig. 2), which breaks down glycogen. As a result of excessive accumulation of glycogen in organs and tissues, various diseases occur: hypoglycemia, muscle hypotension, convulsions, cyanosis, heart failure, hepatitis, and jaundice.
Figure 2. Insufficient amylo-1,4-1,6-glycosyltransferase enzyme in the body.
A deficiency of the enzyme phenylalanine hydroxylase, which catalyzes the conversion of phenylalanine to tyrosine (Fig. 3), causes phenylketonuria. Medicines containing phenylalanine cause serious adverse reactions affecting the central nervous system.
Figure 3. The conversion of
phenylalanine to tyrosine.
Drugs that interact with SH groups of enzymes inhibit the activity of the cholinesterase enzyme, resulting in dangerous adverse reactions such as agranulocytosis, hemolytic anemia, thrombocytopenia, etc.
With a deficiency of the enzymes glucose-6-phosphate dehydrogenase and methemoglobin reductase, anesthetics cause hemolysis, hemoglobinemia, and hemolytic anemia.
Drugs with complexing activity (chelates, derivatives of hydroxyquinolines, dicarboxylic acids and amino compounds) bind enzymes containing Cu and Fe and cause respiratory disorders.
Cumulative ADRs occur through the accumulation (deposition) of drugs in tissues and organs during long-term therapy; they also depend on the specific physicochemical properties of drugs (low solubility in biological fluids, irreversible binding to proteins, etc.).
Thus, chloroquine has low solubility in biological fluids and is slowly eliminated from the body. It is found in tissues for several years after cessation of treatment; retinopathy develops with possible vision loss.
An analogue of chloroquine, the drug hydroxychloroquine, has almost the same side effects, and it was actively used in the treatment of COVID-19; it was excluded from the treatment recommendations of the Ministry of Health of the Russian Federation only on May 20, 2021.
As a result of accumulation, some phenothiazine derivatives cause retinopathy; corticosteroids cause osteoporosis (Baranova 2008).
ADRs caused by drug interactions with the use of combination therapy
The simultaneous use of drugs influences on pharmacokinetics, pharmacodynamics, and toxic effects.
Kukes et al. (2012) provide some examples of clinical data on drug interactions in combination pharmacotherapy. Tetracycline antibiotics lose activity, forming inactive complexes (chelates) when used simultaneously with Fe, Mg, Ca and Al drugs. The combined use of neuroleptics (aminazine, haloperidol) with antidepressants (MAO inhibitors) increases the toxic effect of neuroleptics. Imipramine, propranolol and β-adrenergic agonists cause asthenia, hallucinations, ataxia. Risperidone, together with antidepressants and tranquilizers, causes depression and respiratory depression. Psychostimulants, together with glucocorticosteroids, cause depression, psychosis and euphoria.
Long-term adverse reactions occur months or years after treatment: mutagenic, carcinogenic, teratogenic, etc. It has been established that with long-term use, cytostatics have a damaging effect on the cellular structures of the blood and induce leukemia. Thus, сyclophosphamide and its analogues cause a carcinogenic effect (Lepeshko et al. 2019).
When using highly active drugs (anesthetics, sulfonamides, NSAIDs, opioid analgesics, hypnotics, narcotics, etc.), life-threatening adverse reactions occur: agranulocytosis, thrombocytopenia, leukopenia, suicide, irreversible respiratory disorders, cardiac disorders, etc.
Agranulocytosis often ends in death and is observed, as a rule, with late diagnosis as a result of septic shock.
Main factors from the use of drugs that cause ADRs and often result in irreversible complications:
• High biological activity of drugs and their toxic effects.
• Irrational use, self-medication, advertising of drugs. In recent years, drug labeling has required the indication of the INN – the international nonproprietary name, often indicated in small print. And synonyms and numerous trade names are indicated in large font in the foreground, which causes errors when using the same drug (Skachilova et al. 2023).
• Medical errors.
• Use of low-quality and falsified drugs.
• Sensitization of the population to biological and chemical substances, environmental damage.
Medicines acting on the central nervous system
Highly effective drugs are used to treat central nervous system diseases such as neuralgia, stress, and depression of various etiologies. Pharmacotherapy of these diseases causes dangerous adverse reactions, such as arrhythmias, cardiac and respiratory failure, convulsions, hallucinations, mental dependence, hand tremors, paresthesia, impaired attention, and motor functions.
Examples of pharmacotherapeutic groups of the most commonly used drugs for the treatment of central nervous system pathologies
Neuroleptics
Neuroleptics act on brain GABAergic, cholinergic systems, blocking dopamine receptors of various brain structures. Currently, about 20 drugs of various chemical classes are used. Individual dose selection is required. Drugs such as Chlorpromazine (Aminazine) cause anemia, agranulocytosis, convulsions, arrhythmias, and tachycardia; Clozapine (Azaleptin, Clozasten, Leponex, Azaleprol) – confusion, agranulocytosis, arrhythmia, hepatitis, and myocarditis; Risperidone (Rispolept, Rispolux, Rilept, Risperidon Organica) – tachycardia, thrombocytopenia, and neuropenia; Haloperidol (Senorm) causes extrapyramidal disorders (in the form of parkinsonism), dystonia, tachycardia, etc.
Anticonvulsants
They act on central neurotransmitter amino acids, GABAergic systems, and block Na channels of nerve cell membranes. They require individual selection of doses (Seredinin 2004). Examples of such drugs are: Phenobarbital, which provokes allergic reactions, decreased blood pressure, leukopenia, and anemia; Phenytoin (Diphenin) that causes dizziness, tremor, ataxia, lymphadenopathy, and difficulty breathing; Valproic acid (Apelepsin, Valopixim, Valparin, Valpravvan) that causes impaired consciousness, hallucinations, liver dysfunction, and anorexia; Carbamazepine (Actinerval, Finlepsin, Fimazepsin, Zeptal, Carbalepsin, Tegretol) that causes anorexia, ataxia, agranulocytosis, and leukopenia.
Antidepressants
Monoamine oxidase (MAO) inhibitors increase the content of brain mediators (dopamine, norepinephrine, serotonin). Individual dose selection is required. In recent years, drugs have been actively used in medicine to treat depression of various origins (Brody et al. 2008). A review by the American Physiological Association presents materials for the treatment of various depressions, including in children, showing numerous examples of the characteristics of depression in children and adolescents of different populations, often leading to suicide, which requires individual selection of doses of antidepressants (Antidepressants. Safety of drugs 2005). However, even with short-term and especially with long-term use, antidepressants cause adverse reactions (Tandon et al. 2020; Campos et al. 2021; Kishi et al. 2023). Some antidepressants cause exacerbation of depression, parkinsonism, and suicide (Pillinger et al. 2023). A number of publications present data on the systematization of side effects (ADRs) from the use of antidepressants, as well as drugs for various diseases of the central nervous system (Pillinger et al. 2020). Among this group of drugs, it is advisable to mention the following: Imipramine (Melipramine) causes hallucinations, arrhythmias, and palpitations; Amitriptyline (Amixid, Saroten retard) - arrhythmias, tachycardia, tremor, parasthesia, confusion, jaundice, and thrombocytopenia; Fluoxetine (Prodep, Profluzac, Prozac, Fluval) – headaches, myalgia, anemia, pancreatitis, and thrombocytopenia; Sertraline (Aleval, Zoloft, Serenata, Sirlift, Thorin, Asentra, Stimuloton) – impaired attention, motor functions, drowsiness, amnesia, pancreatitis, hepatitis, and hallucinations.
Tranquilizers (Anxiolytics)
Depending on their structure, benzodiazepines differ in the spectrum of pharmacological activity (anxiolytics, hypnosedatives, muscle relaxants, etc.). They stimulate benzdiazipine and GABA receptor systems; derivatives of other chemical classes act on the choline, dopamine, and serotonergic systems of the brain. Individual dose selection is required (Seredinin 2004). The examples of drugs in this class are: Diazepam (Apaurin, Reladorm, Relium, Seduksen, Sibazon, Relanium) causes mental dependence, drowsiness, and hepatitis; Bromodihydrochlorophenyl benzodiazepine (Benzozepam, Tranquesipam, Fesanef, Fesipam, Fenzitate, Phenazepam, Phenorelaxan, Elzepam) causes hallucinations, muscle weakness, dizziness, and ataxia; Nitrazepam provokes headache, dizziness, amnesia, confusion, muscle weakness, ataxia, visual impairment, and hallucinations.
Neurometabolic stimulants (cerebroprotectors, nootropics)
They activate metabolic processes in the brain, influence on various receptor systems, and increase the body’s resistance to extreme factors (Seredinin 2004). With long-term use of these drugs, the following adverse reactions are observed, for example: Piracetam (Nootropil, Lucetam) – during a course of treatment, coronary insufficiency, irritability, aggressiveness, convulsions, tremor, ataxia are observed; Hopanthenic acid (Gopantomide, Neurocetal, Pantocalcin, Pantogam, Gopantam) – ataxia, depression, hyperkenesis, and dizziness; Omberacetam (Noopept) provokes liver and kidney diseases.
Sleeping pills (hypnotics)
They act on the GABAergic system and benzodiazepine receptors in the brain. To reduce ADRs, individual dose selection is required (Mortaz Hejri et al. 2013; Schröder et al. 2012; Musina et al. 2010). In the treatment of insomnia, hypnotics Zopiclone, Zolpidem, Zaleplon, which act on the central nervous system, are widely used. Clinical data on fatal intoxications resulting from the use of these drugs are presented (Musina et al. 2010; Schröder et al. 2012; Mortaz Hejri et al. 2013).
Anorexigenic drugs
They stimulate the satiety center and inhibit the hunger center in the hypothalamus of the brain, inhibit pancreatic lipases (Astakhova et al. 2010; Mashkovsky 2013). Drugs such as Sibutramine are used only in Russia; in most countries of the world, it is excluded due to toxic effects (Astakhova et al. 2010; Sukhanova 2021). In the Russian Federation, it is used in dietary supplements; and the analysis method was developed relatively recently (Sukhanova 2021). Benfluorex (Mediator) causes heart failure, mortality (more than 5 thousand patients suffered). Regarding Benfluorex, the trial with Servier ended in 2021; the instruction for its use did not indicate cardiovascular system ADRs (cardiac arrest). Previously used Fenfluramine, Fepranon, and Desopimon were excluded due to their high toxic effects (Mashkovsky 2013).
Bronchodilators
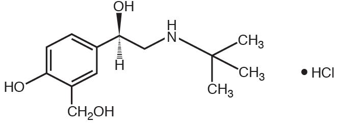
They act on various receptor systems of the lungs (Belle et al. 2008; Skachilova et al. 2017). ADRs of some drugs are associated with leukotriene receptor genotype. In this group we can mention: Zafirlukast (Akolat) that causes apathy, myalgia, and hepatitis; Montelukast (Almont, Glemont, Montler, Monte-R, Montewell, Montelar, Singlon, Singular, Ektalust) that causes headaches, insomnia, fatigue, apathy, myalgia, hepatitis, and suicide. β2-adrenergic receptor stimulants (ADRs are caused by the genotype of receptor polymorphism) include the following drugs: Fenoterol (Beriprax, Fenavist neo, Berotek, Fenotair) that causes heart failure and cardiac arrest.
Safety of pharmacotherapy when using optically active drugs
Currently, about 20% of synthetic drugs are manufactured in the world in the form of individual optically active enantiomers, with the remaining 80% being mixtures of dextro- and levorotatory isomers (racemates) (Skachilova et al. 2019).
Optically active enantiomers of the same drug substance can exhibit diametrically opposite pharmacological and toxicological properties. The spatial structure of molecules is associated with the stereospecificity of biochemical processes (Rudakova et al. 2009; Checha et al. 2012; Skachilova et al. 2019).
The various biological properties of optically active enantiomers are due to the ability of drug molecules of enantiomers to stereoselectively or partially interact with specific receptors, cell membranes and enzymes, protein molecules, which are mainly built from L-amino acids and asymmetric molecules. The extent of these interactions determines the biological properties, pharmacotherapeutic efficacy, pharmacokinetic properties, and metabolism of drugs.
Examples of effective L-enantiomers of drugs
L-adrenaline is 11 times more effective than its D-isomer, which, due to the spatial arrangement of substituents, partially interacts with the receptor (Fig. 4) (Lutai et al. 2009):
Figure 4. The spatial arrangement of substituents, partially interacts with the receptor.
The drug Levodopa, used to treat Parkinson’s disease, is effective only in the L-form (Fig. 5).
Figure 5. Chemical structure of Levodopa.
Propoxyphene in the form of levorotatory enantiomers (2S-, 3R+) is an analgesic; its dextrorotatory enantiomers (2S-, 3R+) do not have an analgesic effect and are antitussives (Fig. 6).
2S-,
3R+ 2R+, 3S-
Figure 6. Chemical structure of enantiomers of Propoxyphene.
The antibacterial medicine Chloramphenicol (levomycetin) is presented in the form of 4 optically active enantiomers (2 chiral centers), highly active only in the L-form (Fig. 7).
Figure 7. Chemical structure of Chloramphenicol (levomycetin).
The opioid analgesic Morphine has 5 chiral centers and 3 levorotatory enantiomers, which ensures its pronounced stereoselectivity and high analgesic activity. The synthesized dextrorotatory enantiomer of Morphine (Fig. 8) is not active.
Figure 8. Chemical structure of Morphine.
The anti-tuberculosis drug Ethambutol is used only in the L-form; the D-isomer causes irreversible vision loss (Fig. 9).
Figure 9. Chemical structure of Ethambutol.
Naproxen is an effective analgesic in the L-form. The D-isomer does not have analgesic activity and is hepatoxic (Fig. 10).
Figure 10. Chemical structure of Naproxen.
Citalopram is an antidepressant, selective serotonin reuptake inhibitor. The S(-) enantiomer of citalopram is superior to the R (+) enantiomer in terms of effectiveness and safety of use (less toxic) (Fig. 11).
S- R+
Figure 11. Chemical structure of enantiomers Citalopram.
The different pharmacological effects of enantiomers and the different degrees of their interaction with receptors and various side effects must be taken into account in pharmacotherapy, and the study of stereoselective metabolism associated with the use of a drug in an optically active form is necessary. This is especially important in complex pharmacotherapy. It is known that the L-isomer (S-) of the anticoagulant Warfarin is 5 times more effective and toxic than the D-isomer (R+), a racemate is used for treatment in medical practice; however, in combination therapy with anti-inflammatory drugs that slow down the stereoselective metabolic processes of the anticoagulant, it is L-isomer (S-) of Warfarin, as a result it accumulates in the blood plasma, which leads to an increase in its toxic effect (Fig. 12).
S- R+
Figure 12. Chemical structure of enantiomers of Warfarin.
The drug Verapamil is used in the treatment of cardiovascular diseases and arrhythmias of various origins. It is known that the L-isomer (S-) is 8-10 times more effective than the D-isomer (R+), the L-isomer (S-) is stereoselectively metabolized faster in the liver. Significant differences in the stereoselective metabolism and biotransformation of enantiomers in the liver lead to their different concentrations in the blood plasma. As a result, with oral pharmacotherapy, the minimum single dose is 160 mg, and parenterally, bypassing the liver, the effective dose is 5 mg. (Fig. 13) (Yatsinyuk et al. 2008).
Figure 13. Chemical structure of enantiomers of Verapamil.
When the oral dose was exceeded, acute poisoning with Verapamil was observed (Yatsinyuk et al. 2008).
The importance of separating racemates of drugs into optically active enantiomers seems obvious from the examples given. However, in medical practice there are a number of examples where there is no need to separate racemates into enantiomers. The anti-inflammatory drug Ibuprofen is used as a racemate because the inactive R(+) enantiomer is converted to active S(-) Ibuprofen by the enzyme isomerase (Fig. 14).
Figure 14. Chemical structure of Ibuprofen.
The synthetic opioid analgesic Tramadol is a racemate, it is agonist of central nervous system (CNS) opioid receptors and has a pronounced analgesic effect. The S (-) isomer of Tramadol is an opioid receptor agonist, and the R (+) isomer activates the central nervous system, both isomers acting synergistically (Fig. 15).
Figure 15. Chemical structure of enantiomers of Tramadol.
The racemate of the antiarrhythmic Nibentan was separated into enantiomers. The more active enantiomer also turned out to be more toxic. Thus, the racemate turned out to be the most optimal for pharmacotherapeutic use (Fig. 16) (Skachilova et al. 2019).
Figure 16. Chemical structure of Nibentan.
Similar preclinical studies of the antiallergic anti-inflammatory glucocorticosteroid Budesonide showed that the S-enantiomer is more active than the D-isomer. However, the enantiomers racemize in the body, and their effectiveness and safety are the same as the racemate (Fig. 17).
Figure 17. Chemical structure of Budesonide.
The drug Sarcolysin (a derivative of L-phenylalanine) is used as a racemate, since the pharmacological activity of the enantiomers is similar (Fig. 18).
Figure 18. Chemical structure of Sarcolysin.
The tragedy involving the use of the drug Thalidomide in the form of a racemate manifested itself at the genetic level. Later, after separation of the racemate, it was found that only one optically active enantiomer was teratogenic, and the other enantiomer had antitumor activity. A group of scientists (Stephens et al. 2000) showed that the non-teratogenic enantiomer of thalidomide racemizes in the body to become teratogenic (Fig. 19).
Figure 19. Chemical structure of enantiomers of Thalidomide.
In medicine (USA and other countries), the L-enantiomer of the beta-2-adrenergic receptor agonist levobuterol (Xopenex) (Fig. 20) was used. However, after long-term use of the drug for 8 years or more, it was found that its effectiveness is similar to its racemate. Perhaps racemization occurs in the body. Similar examples with individual enantiomers were observed in the clinic when using drugs of a number of glucocorticosteroids, amlodipine, esomeprazole, dexketoprofen, etc (Skachilova et al. 2019).
Figure 20. Chemical structure of Levobuterol (Xopenex).
Based on numerous studies on the pharmacotherapeutic effects of racemates and optically active enantiomers, three options for their use can be considered (Lutai et al. 2009; Rudakova et al. 2009):
1. One enantiomer is active, the other is inactive or toxic: It is advisable to separate the racemate in the absence of racemization in the body (Morphine, Levodopa, Ethambutol, Naproxen, etc.).
2. Both enantiomers have the same direction of action, and are similar in pharmacokinetics and pharmacodynamics: Separation of the racemate is inappropriate (Ibuprofen, Tramadol, Budesonide, Nibentan, Dexketoprofen, etc.).
3. The active enantiomer is transformed or racemized in biological media during mono- and/or complex pharmacotherapy: Biological and pharmacological studies of enantiomers are necessary (Thalidomide, Warfarin, etc.).
Safety of pharmacotherapy when using antioxidants
Along with the successful use of drugs with antioxidant activity, there are a number of studies and publications about the side effects and dangerous consequences of overloading the body with antioxidants when the threshold dose is exceeded, for example, incorrect analysis of biomarkers that determine the degree of oxidative stress and the corresponding pathology (Frijhoff et al. 2015; Skachilova et al. 2020)
Hospitals are not always able to assess the level of oxidative stress and determine a specific biomarker at the initial stage of the disease. In addition, in high doses, some antioxidants exhibit a pro-oxidant effect (Koch et al. 2004; Stvolinsky et al. 2012; Sies 2015; Marrocco et al. 2017; Skachilova et al. 2022).
WHO has established daily doses (Table 1) for some antioxidants and minerals for the normal state of the body:
|
Table 1. |
Download as |
||
|
Daily doses for some antioxidants and minerals for the normal state of the body |
|||
|
Antioxidant |
Dose |
|
from 600 to 700 mcg |
|
|
from 12 to 13 mg |
|
|
from 80 to 100 mg |
|
|
≤ 45 mcg |
|
|
from 7 to 9 mg |
|
|
240 mg |
However, a number of US scientists (Williams 2004; Derave et al. 2014) consider that WHO standards are sufficient to maintain health but are too low during heavy physical activity including sports, and propose the following standards (Table 2).
|
Table 2. |
Download as |
||
|
Daily doses WHO and US |
|||
|
Name of the drug |
WHO standards |
US standards |
|
from 80 to 100 mg |
500 — 1000 mg |
|
|
from 12 to 13 mg |
250 — 500 mg |
|
|
≤ 45 mcg |
50 — 100 mcg |
Draeger et al. (2014) presented data from 12 studies assessing the physiological parameters of athletes’ bodies using ascorbic acid, tocopherol, beta-carotene, and their combinations in high doses, concluding that antioxidant supplements do not affect the body’s recovery after exercise and athletic performance.
In 2017, data from 27 clinical studies assessing the effectiveness of various antioxidants at these elevated doses were published. Only 7 studies showed improvements in cardiovascular function. There were no positive results in 10 studies. In the remaining 10 studies, the incidences of lung cancer and breast cancer were increased.
An international group of clinical researchers (Jakobsen 2013) showed that antioxidant supplements increase mortality both in patients with various diseases and healthy people. Ristow et al. (2009) showed that dietary supplements with vitamins C and E have a negative effect on patients’ insulin sensitivity. Increased doses of antioxidant supplements were also shown to have a negative effect on changes in blood pressure.
The well-known popular antioxidant Dihydroquercetin (DHQ) ranks first among the known antioxidants (including vitamins), surpassing them according to the ORAC (Oxygen Radical Absorbance Capacity) scale by 11 or more times (Fig. 21).
Figure 21. Chemical structure of antioxidant Dihydroquercetin (DHQ).
There are a number of publications on the main pharmacological properties of DHA: improvement of the functional state of the cardiovascular system, optimization of coronary blood flow, neuroprotection, optimization of lipid metabolism, capillary protection, etc. (Raj et al. 2017). The main disadvantage of DHQ is low solubility in water and in biological media (0.003%), which leads to its accumulation in the liver and, when used in high doses (above 100 mg or more), it leads to the development of various pathologies (Koroteev et al. 2014).
Pharmacovigilance for monitoring and safety of medicinal products
For many years, WHO has been conducting a special program for international drug monitoring; an international pharmacovigilance society has been created, which includes more than 100 countries. In 2017, WHO launched a global program to reduce the number of errors made by healthcare professionals and patients in the use of medicines. Errors are potentially preventable; systems, procedures, and closed monitoring are needed to ensure that the correct drug, the correct dose, and the correct route of administration are selected (Skachilova et al. 2020).
WHO defines pharmacovigilance as a branch of science aimed at identifying, assessing, understanding, and preventing adverse reactions and/or other possible problems associated with drugs. Back in the 20th century, national centers for drug safety monitoring were created in the most countries of the world. In the USSR in 1936, the health commission adopted a resolution “On the Procedure for Testing New Drugs That May Be a Danger to Human Life”. In 1969, a department for accounting, systematization, and examination of the side effects of drugs was created under the USSR Ministry of Health. In 1991, the USSR Ministry of Health was closed down, started in 1969 resumed only in 2000.
In the Russian Federation, only in 2004, specialists in the field of clinical pharmacology, studying drugs, assessing their benefits and risks made an attempt to organize drug safety control; a pharmacovigilance guide “Adverse Drug Reactions and Drug Safety Control” was published (Astakhova et al. 2008; Yurgel 2008).
In fact, pharmacovigilance work in the Russian Federation began after the adoption of the Federal Law on the Circulation of Medicines in 2010, with subsequent amendments. In recent years, organizational work has been carried out in the Russian Federation on the safety of the use of drugs, especially potent ones. Instructions for use of drugs include additional information on ADRs. In 2020, the Ministry of Health of the Russian Federation decided to include pharmacovigilance as a branch of science and the subjects of safe handling of medicines in medical and pharmaceutical universities in student training programs.
Conclusion
The problem of safety of drug therapy is to a certain extent associated with the introduction into clinical practice of a great number of innovative drugs with high biological activity, and, often, with adverse reactions not identified in a timely manner.
Irrational pharmacotherapy, especially with highly effective drugs for the treatment of the central nervous system with no regard for individual doses of drugs, leads to errors by both medical personnel and errors in self-medication by patients.
Certain problems arise with the safety of pharmacotherapy using drugs in optically active forms (racemates, enantiomers). Careful biological, pharmacological, toxicological studies are required to analyze stereoselective metabolism, pharmacokinetics, pharmacodynamics, as well as studies to identify possible racemization of enantiomers in biological media, taking into account the individual genotype of receptors when prescribing certain doses of drugs.
The existing conflicting data on the benefits and harms of antioxidants are due to drug overdosages with no regard for the individual organism. In addition, there are a number of difficulties in determining the level of oxidative stress, and the lack of reliable validated methods for analyzing biomarkers.
The problem of drug safety in the 21st century is solved by the introduction of rational pharmacovigilance programs, a specific system for monitoring the safety of drugs both in Russia and abroad.
Additional information
Conflict of interest
The authors declare the absence of a conflict of interests.
Data availability
All of the data that support the findings of this study are available in the main text.
References
§ Astakhova AV, Lepakhin VK (2008) Medicines. Adverse adverse reactions and safety monitoring, 2 nd edition, revised and expanded. Ser. Professional medicine. Eksmo, Moscow, 225 рр. [in Russian]
§ Astakhova AV, Lepakhin VK, Pereverzev AP (2008) Publications as a source for identifying adverse side reactions to drugs. Drug Safety and Pharmacovigilance [Bezopasnost' Lekarstv i Farmakonadzor] 2: 4–12. [in Russian]
§ Astakhova AV, Lepakhin VK, Pereverzev AP (2010) Sibutramine: possible side effects and recommendations for their management prevention. Drug safety and pharmacovigilance [Bezopasnost Lekarstvennyh Sredstv i Farmakonadzor] 1: 4–11. [in Russian]
§ Baranova IA (2008) Glucocorticoid-induced osteoporosis: pathogenesis, prevention, treatment. Modern Rheumatology [Sovremennaya Revmatologiya] 2(1): 31–39. https://doi.org/10.14412/1996-7012-2008-455 [in Russian]
§ Brady DJ, Gu Q (2020) Antidepressant use among adults: United States. National Center for Health Statistics Data Brief 377: 1–8. [PubMed]
§ Campos AI, Mulcahy A, Thorn JG, Wray NR, Byrne EM, Land PA, Midland SE, Martin NG, Hickie IB, Renteria ME (2021) Understanding genetic risk factors for common side effects of antidepressant medications. Commun Med (Lond) 9(1): 45. https://doi.org/10.1038/s43856-021-00046-8 [PubMed] [PMC]
§ Checha OA, Buniatyan ND, Tentsova AI (2012) Stereo specificity of drugs is one of the factors of effectiveness and safety of drugs. Pharmacy [Farmaciya] 8: 40–43. [in Russian]
§ Czeizel AE (2007) Pharmacoepidemiology and drugs safety. International Society for Pharmacoepidemiology. 9: 183–197. https://doi.org/org/10.1002/pds.1471
§ Derave W, Tipton KD (2014) Dietary supplements for aquatic sports. International Journal of Sport Nutrition and Exercise Metabolism 24(4): 437–449. https://doi.org/10.1123/ijsnem.2014-0017 [PubMed]
§ Belle DJ, Singh H (2008) Genetic factors in drug metabolism. American Family Physician. 77(11): 1553–1560. [PubMed]
§ Draeger CL, Naves A, Marques N, Baptistella AB, Carnauba RA, Paschoal V, Nicastro H (2014) Controversies of antioxidant vitamins supplementation in exercise: ergogenic or ergolytic effects in humans? Journal of the International Society Sports Nutrition. 11(1): 4. https://doi.org/10.1186/1550-2783-11-4 [PubMed] [PMC]
§ Frijhoff J, Winyard PG, Zarkovic N, Davies SS, Stocker R, Cheng D, Knight AR, Taylor EL, Oettrich J, Ruskovska T, Gasparovic AC, Cuadrado A, Weber D, Poulsen HE, Grune T, Schmidt HH, Ghezzi P (2015) Clinical relevance of biomarkers of oxidative stress. Antioxid Redox Signaling. 23(14): 1144–1170. https://doi.org/10.1089/ars.2015.6317 [PubMed] [PMC]
§ Kishi T, Ikuta T, Sakuma K, Okuya M, Hatano M, Matsuda Y, Iwata N (2023) Antidepressants for the treatment of adults with major depressive disorder in the maintenance phase: a systematic review and network meta-analysis. Molecular Psychiatry 28(1): 402–409. https://doi.org/10.1038/s41380-022-01824-z [PubMed] [PMC]
§ Koch OR, Pani G, Borrello S, Colavitti R, Cravero A, Farrè S, Galeotti T (2004) Oxidative stress and antioxidant defenses in ethanol-induced cell injury. Molecular Aspects of Medicine 25(1-2): 191–198. https://doi.org/10.1016/j.mam.2004.02.019 [PubMed]
§ Koroteev MP, Pozdeev AO. Koroteev AM, Kaziev G Z, Teleshev AT, Ofitserov (2014) ENChemical modification of dihydroquercetin (taxifolin) and biological activity of its derivatives. Butlerov Communications 39(10): 94–120. [in Russian]
§ Kukes VG (2009) The creative path of half a century as a doctor, teacher, scientist. Russian doctor, Moscow, 109 рр. [in Russian]
§ Kukes VG, Svistunov AA, Mironova AN, Sycheva DA (2012) Clinical and pharmacological aspects of drug interactions from the standpoint of personalized medicine, Publishing House of the First Moscow State Medical University named after I.M. Sechenov, Moscow, 112 рр. [in Russian]
§ Lepeshko PN, Semenov IP (2019) Study of acute toxicity of the pharmaceutical substance cyclophosphamide. Medical Journal [Medicinskiy Zhurnal] 2: 92–96. [in Russian]
§ Lutai MI, Lysenko AF, Moiseenko OI (2009) The use of optical isomers of known cardiovascular drugs is a way to increase their effectiveness and tolerability. Ukrainian Journal of Cardiology 4: 13–20. [in Russian]
§ Marrocco I, Altieri F, Peluso I (2017) Measurement and clinical significance of biomarkers of oxidative stress in humans. Oxidative Medicine and Cellular Longevity. 2017: 6501046. https://doi.org/10.1155/2017/6501046 [PubMed] [PMC]
§ Mashkovsky MD (2013) Medicines. 16th ed, New Wave, Moscow, 172 рр. [in Russian]
§ Mortaz Hejri S, Faizi M, Babaeian M (2021) Zolpidem-induced suicide attempt: a case report. Daru. 21(1): 77. https://doi.org/10.1186/2008-2231-21-77 [PubMed] [PMC]
§ Musina MG, Kilin VV, Mingazov AA (2010) Fatal poisoning with zaleplon. Problems of Drug Examination in Medicine [Medicinski Problemy Ekspertizy Lekarstvennyh Sredstv v Mediciney Zhurnal] 10(1-2): 37–38 [in Russian]
§ Pillinger T, Howes OD, Correll CU, Leucht S, Huhn M, Schneider-Thoma J, Gaughran F, Jauhar S, McGuire PK, Taylor DM, Young AH, McCutcheon RA (2023) Antidepressant and antipsychotic side-effects and personalised prescribing: a systematic review and digital tool development. Lancet Psychiatry 10(11): 860–876. https://doi.org/10.1016/S2215-0366(23)00262-6 [PubMed] [PMC]
§ Pillinger T, McCutcheon RA, Vano L, Mizuno Y, Arumuham A, Hindley G, Beck K, Natesan S, Efthimiou O, Cipriani A, Howes OD (2020) Comparative effects of 18 antipsychotics on metabolic function in patients with schizophrenia, predictors of metabolic dysregulation, and association with psychopathology: a systematic review and network meta-analysis. Lancet Psychiatry 7(1): 64–77. https://doi.org/10.1016/S2215-0366(19)30416-X [PubMed] [PMC]
§ Raj U, Aier I, Varadwaj PK (2017) Taxifolin: A wonder molecule in making multiple drug targets. Annals Pharmacology and Pharmaceytics 2(8): 1083.
§ Ristow M, Zarse K, Oberbach A, Klöting N, Birringer M, Kiehntopf M, Stumvoll M, Kahn CR, Blüher M (2009) Antioxidants prevent health-promoting effects of physical exercise in humans. Proceedings of the National Academy Sciences of the United States of America 106(21): 8665–8670. https://doi.org/10.1073/pnas.0903485106 [PubMed] [PMC]
§ Rudakova IP, Ilyina IG, Skachilova SYa, Melentyeva TA, Mikhalev OV, Samylina IA (2009) Polymorphism and properties of drugs. Pharmacy [Farmaciya] 8: 42–44. [in Russian]
§ Schröder AS, Müller F, Gehl A, Sehner S, Anders S (2012) Post-mortem development of conjunctival petechiae following temporary prone position. Forensic Science International. 223(1-3): e53–e55. https://doi.org/10.1016/j.forsciint.2012.08.045 [PubMed]
§ SB (2004) Lectures on pharmacogenetics. Medical Information Agency, Moscow, 261 рр. [in Russian]
§ Shokhin IE, Yarushok TA, Medvedev YuV, Savchenko AYu, Ramenskaya GV, Malashenko EA (2015) Biopharmaceutical classification of strategically important drugs. Biopharmaceutical Journal [Biofarmacevticheskij Zhurnal] 7(5): 30–34. [in Russian]
§ Sies H (2015) Oxidative stress: a concept in redox biology and medicine. Redox Biology 4: 180–183. https://doi.org/10.1016/j.redox.2015.01.002 [PubMed] [PMC]
§ Skachilova SYa, Shilova EV (2019) Polymorphic modifications and optical enantiomers of drugs, pharmacotherapy. XIX International Interdisciplinary Congress Neuroscience for medicine and psychology, Sudak, Crimea (Russia) June 2023, LLC "MAX Press", 327 рр. [in Russian]
§ Skachilova SYa, Shilova EV (2020) Antioxidants in the 21st century benefit or harm? XIX International Interdisciplinary Congress Neuroscience for medicine and psychology, Sudak, Crimea (Russia) June 2023, LLC "MAX Press", 327 рр. [in Russian]
§ Skachilova SYa, Shilova EV (2023) Drug safety in the 21st century. The quality of life. Adverse events. XIX International Interdisciplinary Congress Neuroscience for medicine and psychology, Sudak, Crimea (Russia) June 2023, LLC "MAX Press", 327 рр. [in Russian]
§ Skachilova SYa, Shilova EV, Pavlov VM, Molostova TN (2017) Broncholytic and tocolytic properties of β2-agonists. Development and Registration [Razrabotka i Registraciâ Lekarstvennyh Sredstv] 1(1): 182–186. [in Russian]
§ Skachilova SYa, Yasnetsov VV (2022) Antioxidants are as inexhaustible as electrons. Structure - activity https. XIX International Interdisciplinary Congress Neuroscience for medicine and psychology, Sudak, Crimea (Russia) June 2023, LLC "MAX Press", 327 рр. [in Russian]
§ Stephens TD, Bunde CJ, Fillmore BJ (2000) Mechanism of action in thalidomide teratogenesis. Biochemical Pharmacology 59(12): 1489–1499. https://doi.org/10.1016/s0006-2952(99)00388-3 [PubMed]
§ Stvolinsky S, Toropova K, Gordeeva M, Kazey V, Sato T, Meguro K, Boldyrev A (2012) Carnosine and its (S)-Trolox™ derivative protect animals against oxidative stress. Amino Acids 43(1): 165–170. https://doi.org/10.1007/s00726-012-1256-4 [PubMed]
§ Sukhanova AM (2021) Development of methods for determining Sibutramine in the composition of multicomponent drugs and dietary supplements for anorexigenic food. PhD thesis, Moscow, Russia: University of Sechenov, 30 pp. [in Russian]
§ Tandon R, Lenderking WR, Weiss C, Shalhoub H, Barbosa CD, Chen J, Greene M, Meehan SR, Duvold LB, Arango C, Agid O (2020) The impact on functioning of second-generation antipsychotic medication side effects for patients with schizophrenia: a worldwide, cross-sectional, web-based survey. Annals of General Psychiatry 13: 19–42. https://doi.org/10.1186/s12991-020-00292-5 [PubMed] [PMC]
§ Williams MH (2004) Dietary supplements and sports performance: Introduction and vitamins. Journal of the international society of sports nutrition. 1(2): 1–6. https://doi.org/10.1186/1550-2783-1-2-1 [PubMed] [PMC]
§ Yatsinyuk BB, Sentsov VG, Brusin KM, Volkova NA (2008) Disturbances of atrioventricular conduction and central hemodynamics in acute poisoning with Veropamil. 3rd Congress of Toxicologists of Russia. Ministry of Health and Social Sciences. Moscow (Russia) January 2008, development of the Russian Federation, 471 рр. [in Russian]
Author Contributions
§ Sofia Ya. Skachilova, Doctor of Chemical Sciences, Professor, Head of the Department of Chemistry and Technology of Synthetic Drugs and Analytical Control, All-Union Scientific Center for the Safety of Biologically Active Substances JSC, Staraya Kupavna, Russia; e-mail: skachilova@mail.ru; ORCID ID: https://orcid.org/0000-0003-4486-8883. The author proposed the concept of the article, was engaged in search for and collection of factual material.
§ Ekaterina A. Simakina, Senior Research Fellow of the Department of Chemistry and Technology of Synthetic Drugs and Analytical Control, All-Union Scientific Center for the Safety of Biologically Active Substances JSC, Staraya Kupavna, Russia; e-mail: katerinasimakina@mail.ru; ORCID ID: https://orcid.org/0000-0003-1248-202X. The author analyzed the actual data.
§ Andrey V. Denisenko, PhD in Chemical Sciences, Engineer of the Department of Technology of Inorganic Substances and Electrochemical Processes, D. Mendeleev University of Chemical Technology of Russia, Moscow, Russia; e-mail: andreydenisenko92@gmail.com; ORCID ID: https://orcid.org/0000-0003-1162-7493. The author formatted the materials in accordance with the profile of the journal.
§ Elena V. Shilova, Doctor of Biological Sciences, Professor, Leading Researcher, Department of Quality Control of Scientific Research, All-Union Scientific Center for the Safety of Biologically Active Substances JSC, Staraya Kupavna, Russia; e-mail: eshilova@mail.ru; ORCID ID: https://orcid.org/0000-0002-0682-8883. The author wrote the text of the article.
§ Anna L. Motailo, medical student, Belgorod State National Research University, Belgorod, Russia; e-mail: 1468748@bsuedu.ru; ORCID ID: https://orcid.org/0009-0007-5118-5964. The author was engaged in conducting the literature analysis.
§ Aleksey A. Khentov, postgraduate student of the Department of Pharmacology and Clinical Pharmacology, Belgorod State National Research University, Belgorod, Russia; e-mail: alexeyhentov@gmail.com; ORCID ID: https://orcid.org/0009-0006-4315-0828. The author was engaged in conducting the literature analysis.
Copyright (c) 2025 Skachilova SYa, Simakina EA, Denisenko AV, Shilova EV, Motailo AL, Khentov AA

This work is licensed under a Creative Commons Attribution 4.0 International License.
