Effect of a brain penetrant 5-HT7 receptor agonist LP-211 alone and in combination with gabapentin on cognitive deficits in insulin treated diabetic neuropathic rats
Venkatesh Goura1,2, Pradeep Jayarajan1, Renny Abraham1, Rajeshbabu Medapati1, Rajesh Kallepalli1, Anoop Kishore2, Ramakrishna Nirogi1*
1Suven Life Sciences Ltd., SDE Serene Chambers, Road-5, Avenue-7, Banjara Hills, Hyderabad-500034, India,
2Department of Pharmacology, Manipal College of Pharmaceutical Sciences, Manipal Academy of Higher Education, Manipal Udupi Dist Karnataka 576104 India.
Corresponding author: Ramakrishna Nirogi (nvsrk@suven.com)
Abstract
Introduction: Cognitive deficits were found to be more pronounced in diabetic neuropathic pain (DNP) patients, with limited treatment options. This study investigates the effects of 5-HT7 agonist (LP-211), alone and in conjunction with gabapentin, on cognitive deficits in insulin-treated DNP (IDNP) rats.
Materials and Methods: Diabetes was induced in male rats (N=71) using streptozotocin (50 mg/kg, intraperitoneally). DNP was assessed using Von Frey and acetone tests. Selected DNP rats received insulin (2 IU/kg, subcutaneously) daily. Treatments included LP-211 (3 mg/kg), gabapentin (10 mg/kg), combination (LP-211 + gabapentin), and donepezil (1mg/kg), which were administered intraperitoneally. Cognitive performances were evaluated through novel object recognition, novel location recognition, and fear conditioning tasks. Biomarkers such as monoamines, brain-derived neurotrophic factor (BDNF), interleukin-1 beta (IL-1β), and nerve conduction velocity (NCV) were measured.
Results and Discussion: Insulin maintained blood glucose levels, but did not alleviate cognitive deficits. LP-211, 3 mg/kg, donepezil, 1 mg/kg and LP-211, 3 mg/kg + gabapentin, 10 mg/kg demonstrated a significant discriminative index between novel and familiar objects, as well as object locations. Only combination treatment showed significant retrieval of percentage freezing and regulated biomarkers like NCV, monoamines, BDNF, and IL-1β levels compared to IDNP vehicle group. Donepezil modulated monoamines and BDNF, especially, LP-211, 3 mg/kg and donepezil; 1 mg/kg alone did not enhance the freezing response in IDNP rats. Overall, combination treatment notably showed enhanced associative learning, recognition, and spatial memory capabilities.
Conclusion: Acute treatment with LP-211 (3 mg/kg) + gabapentin (10 mg/kg) effectively improved integrated nature of memory in IDNP rats.
Graphical Abstract
Keywords: diabetic neuropathic pain, cognition, monoamines, brain-derived neurotrophic factor, interleukin-1 beta, nerve conduction velocity
Introduction
About 25-50% of diabetic patients experience diabetic neuropathic pain (DNP) (Shillo et al. 2019; Gwathmey et al. 2019). DNP patients are at higher risk of cognitive deficits (Palomo-Osuna et al. 2022), demonstrating reduced speed of information processing, memory issues, focus problems, and decision-making difficulties (Schreiber et al. 2015). These cognitive deficiencies negatively impact the quality of life for people with DNP.
Diabetes is a condition characterized by increased blood glucose levels due to a lack of insulin synthesis (American Diabetes Association 2009). Hyperglycemia in diabetic patients causes neuropathic pain (Schreiber et al. 2015). DNP is characterized by sensations such as tingling, burning, pins and needles, shooting, aching, jabbing, sharp pain, cramping, cold allodynia, and mechanical allodynia (Schreiber et al. 2015). According to literature, the most common model for diabetes development in rats is streptozotocin (STZ) (Tesfaye et al. 2013), which can also cause neuropathic pain in rodents via various pathways (Nahdi et al. 2017). Pathways like hyperglycemia, altered calcium signaling, abnormal apoptosis cascade and neurotrophic factors, mitochondrial dysfunction, insufficient insulin, nervous system inflammation, and damage to nerve cells, unusual nerve conduction velocities and decrease in acetylcholine synthesis are linked to cognitive deficits in diabetic rodents and patients (Groenveld et al. 2018; Qian et al. 2022). Biomarkers such as monoamines, serotonin (5-HT), and melatonin dysregulation are factors in developing diabetes (Roberts et al. 2023). 5-HT plays a major role through the prefrontal cortex and hippocampus in modulating higher brain functions like cognition memory processes (Izquierdo et al. 1999; Gallo et al. 2021; Puig and Gulledge 2011). Nevertheless, research related to STZ-induced DNP associated with cognitive deficits is very limited (Groenveld et al. 2018; Huang et al. 2023).
DNP-associated cognitive deficits are mainly due to deregulation of 5-HT levels (Cai et al. 2022; Bellush and Reid 1991). Among 5-HT receptor subtypes, the 5-HT7 receptor is recently identified and is abundantly present in brain regions like the hippocampus, hypothalamus, thalamus, cortex, amygdala, and dorsal raphe nucleus (Beaudet et al. 2015). Recently, a selective brain penetrant agonist of the 5-HT7 receptor, LP-211 (6-(4-Biphenyl-2-yl-piperazin-1-yl)-hexanoic acid 4-cyano-benzylamide), has demonstrated effectiveness in enhancing cognitive function in various studies (Perez-Garcia and Meneses 2005; De Filippis et al. 2015; Costa et al. 2018; Solís-Guillén et al. 2021). Despite LP-211’s cognitive-enhancing activity observed in rodents, it has not been studied in DNP rats. Treating DNP comorbidities in the clinic is a major challenge; generally, these patients undergo insulin therapy, analgesics for pain, and cognitive enhancers. Importantly, in clinical trials, monotherapy is less effective than combination therapy in slowing the rate of cognitive deficits (Cimmings et al. 2024). Similarly, DNP patients suffering from pain and associated memory deficits may need multiple drug therapies (Tesfaye and Kempler et al. 2023). Thus, investigating the potential of LP-211 in combination with gabapentin (GBP) in insulin-treated diabetic neuropathic pain (IDNP) rats to mitigate cognitive deficits presents a valuable opportunity.
GBP is a first-line treatment for neuropathic pain (Wiffen et al. 2017). However, its use in the clinic has yielded mixed results. Some studies (Park et al. 2022; Oh et al. 2022) have stated that GBP is associated with poor cognitive processing. In contrast, other clinical studies reported that GBP is not associated with cognitive deficits (Martin et al. 1999; Salinsky et al. 2002). Moreover, adverse effects of GBP are predominantly seen at higher doses. Thus, reducing the dose of GBP may be advantageous in diminishing these adverse effects, as suggested by González-Sanmiguel et al. (2020).
Further, it is important to reinforce that brain regions like the hippocampus and prefrontal cortex play crucial roles in pain and memory (Zheng et al. 2017; Ong et al. 2019). In neuropathic pain conditions, hippocampal neurodegeneration is mainly due to cytokines like Interleukin-1beta (IL-1β) (Gui et al. 2016). IL-1β plays a major role in exacerbating pain conditions and significantly influences synaptic plasticity by down-regulating brain-derived neurotrophic factor (BDNF) and affecting processes in brain cognitive centers (Avital et al. 2003; Takemiya et al. 2017; Tong et al. 2012). Overall, monoamines, IL-1β, and BDNF play significant roles in the common mechanisms leading to neuropathic pain and cognitive deficits (Gui et al. 2016; Beeri and Sonnen 2016; Hao et al. 2023). This indicates that cognitive enhancers with modulation of momoamines, BDNF, and anti-inflammatory activity may be advantageous for treating cognitive deficits due to neuropathic pain.
The aim of this study is to evaluate the effect of the selective 5-HT7 agonist LP-211, alone and in combination with GBP, on cognitive deficiencies associated with DNP. Experimental diabetes was induced through the administration of STZ. Post-injection, blood glucose levels and body weights were recorded. Neuropathic pain was assessed using Von Frey filaments to measure mechanical allodynia and the acetone test for cold allodynia. Behavioral tests related to memory, including the novel object recognition task (NORT), novel location recognition task (NLRT), and contextual fear conditioning and extinction (CFCE) tasks, were conducted. Further, nerve conduction velocity was measured using AD Instruments PowerLab, and the rats’ brain regions like the hippocampus and prefrontal cortex were collected to evaluate monoamines, BDNF, and pro-inflammatory cytokines.
Materials and Methods
Drugs
LP-211 was procured from MCE chemicals USA. LP-211 was formulated using 1% DMSO + 99% saline. Gabapentin was manufactured in chemistry lab of Suven Life Sciences (India) and formulation was prepared by using water for injection. Donepezil was obtained from Sigma Aldrich (India) dissolved in water for injection. Streptozotocin (STZ) was acquired from Sigma Aldrich (India). STZ solution was prepared using citrate buffer, maintained pH 4.6 and dosed within ten minutes of preparation. Insulin (Biphasic isophane) obtained from commercially available in pharmacy, Hyderabad (India).
Animals
Animal studies were conducted in the Animal Research Facility of Suven Life Sciences Ltd., Medak (India). Male Wistar rats weighing between 280 and 300 grams were used for experimentation. Animals were first acclimatized for a period of seven days. Room temperature was maintained at 21± 3°C and between 30 and 70% relative humidity with a 12-hour light/dark cycle (lights on from 7:00 to 19:00 hours). Rats were housed in social groups of three animals per cage, ad libitum access to potable water, and pelleted rodent SAFETM Laboratory diet were also provided.
Diabetes induction
The process used to induce diabetes was similar to that described in Nirogi et al. (2011). Rats were given 50 mg/kg, i.p. of STZ, in non-fasting condition. In the second week of following STZ injection, diabetes was verified by measuring blood glucose levels with a glucometer (Contour TS, Japan). A blood glucose level of more than 260 mg/dL was deemed diabetic.
Experimental procedure
Rats (N = 71) received STZ injections, while rats in normal control group (N = 9) received citrate buffer. After three weeks of STZ injection, rat’s paw withdrawal thresholds (PWTs) using Von Frey filaments and paw withdrawal scores (PWS) with acetone were measured. Selected DNP rats received insulin 2 IU/kg, s.c. every day in the morning session. Following insulin administration, rat’s body weight, blood glucose, PWTs, and PWS were determined before and after behavioural tests. DNP rats with cataract were excluded from this study. Selected neuropathic rats were randomized into five groups based on PWTs and one normal control group (N=9), with a total of six groups. Three independent memory tests were performed to examine these rats’ cognitive function via behavioural testing. In the eighth week following STZ treatment, NORT was carried out. After a washout interval, an NLRT was conducted at week nine. PWTs and PWS were assessed at week 10 following washout periods. At week11, following the conclusion of CFCE experiment, next day nerve conduction velocity was measured and brain hippocampus and pre-frontal cortex were collected; experiment schedule is shown in Figure 1 (Fig.1). Test compounds and drug standard (donepezil) were administered 60 and 30 minutes prior to behavioural test trial, respectively. Donepezil 1 mg/ kg (Mahdi et al. 2021; Mei et al. 2023), LP-211 3 mg/kg (Costa et al. 2018), and GBP 10 mg/kg (Kayser and Christensen 2000) were administered. The doses were selected based on previous works.
Figure 1. Schematic presentation of the experiments and treatments schedule. Note: STZ – streptozotocin; NORT – novel object recognition task; NLRT – novel location recognition task; CFCE – contextual fear conditioning and extinction; NCV – nerve conduction velocity.
Evaluation of neuropathic pain
Von- Frey test
Von Frey filaments were used to assess PWTs as described by Nirogi et al. (2012). Three weeks after STZ administration, PWTs were evaluated. STZ rats were housed in perforated acrylic chambers (19.5 cm x 9.5 cm x 14 cm, UgoBasil, Italy) on the day of the pain evaluation. The rats were acclimated to the chamber for fifteen minutes before PWTs were evaluated. The hind paw was exposed to each Von Frey filament for six seconds. The rats which showed PWTs ≤ 4 grams were considered neuropathic.
Acetone test
Procedure for conducting the acetone test was followed as described by Yoon et al. (1994). Three weeks following an injection of STZ, the PWS of rats was assessed. Fifty microliters of acetone was sprayed directly over the lateral plantar surface of a hind paw using a syringe fitted with a blunt needle. The quick foot withdrawal response was considered a positive response following the application of acetone. The following 4-point rating system was used to evaluate the PWS. A score of 0 denotes no response, a score of 1 denotes a single, rapid paw flick or withdrawal, a score of 2 denotes multiple (≥2) paw flicks or withdrawals, and a score of 3 denotes multiple paw flicks and licking. Each animal had three trials and the average of the outcomes a mean withdrawal score. DNP rats with score more than 1 were considered as neuropathic.
Novel Object recognition task
For two days, NORT was conducted. Rats were habituated to 50 x 50 x 45 cm box arenas for 20 minutes on the first day of trial. On second day, rats were given three minutes to investigate two yellow gravel-filled bottles (a1 and a2) that were kept in the arena. Trial 2: animals were given three minutes to explore both the new (b1) and familiar items (a3) in the arena, with a 4 hour inter trial interval (ITI). Test compound treatments and donepezil were administered at 60 and 30 min prior to each trial, respectively. Both the objects and the arena were cleaned with 70% ethanol after each animal to avoid any odor cues for next animal.
Discriminative index (DI) was calculated by dividing the difference in time spent on each object by total exploration time at 4 hour ITI ([time spent exploring the novel object (b1) − time spent exploring the familiar object(a3)] / total exploration time).
Novel Location Recognition task
NLRT was conducted for 2 days. Habituation, acquisition, and retention sessions comprised the NLRT. On the first day, animals were acclimated to each 50 x 50 x 45 cm chamber for 20 minutes. To assist the animals in finding and figuring out their paths, visual signals were positioned on the chamber walls during the NLRT. Each animal was exposed to similar objects placed at the two corners of one side (a1 and a2) during the acquisition session (Trial 1). The novel object’s (b1) and familiar object (a3) location was in diagonal corners of the chamber, during retention session (Trial 2). There was a 4 hour ITI between trial 1 and 2. In each trial exploration time was 180 seconds. The recorded parameter was the amount of time animals spent investigating each object. Treatments like test compounds and donepezil were administered within 60 and 30 min prior to each trial. Experimenter was blinded towards treatment. Recognition memory was characterized by DI of the novel relocated vs. unmoved familiar object and was calculated as DI at 4 hour ITI= (time spent exploring relocated object (b1) time spent exploring unmoved object (a3)) / total exploration time.
Contextual Fear Conditioning and extinction
Procedure for CFCE was followed as described by D’Amico et al. (2019). On day 1, rats were brought to the laboratory at least 1 hr prior to experimentation. Rats were acclimatized to fear conditioning chamber (L x W x H, rat: 26 x 30 x 33 cm, Coulbourn instruments, USA) for 2 min. After acclimatization rats received unavoidable foot shock (unconditioned stimulus (US): electric shock of 0.7 mA for 3 seconds). Following a 79 sec interval between each administration, shock was repeated to deliver a total of eight US. One minute after the last US (total duration of trial is for 733 sec), each animal was transferred to home cage. Chambers were cleaned with 70% ethanol between tests. After the US, with an ITI of 4 hours, rats were subjected to same context without US for fear memory retrieval / extinction acquisition. Freezing behaviour of animal was recorded for 733 sec (starting from the time animal is placed in the fear conditioning chamber). Test treatments and donepezil were administered within 60 and 30 min prior to conditioning and fear memory retrieval task, respectively on day 1.
For extinction retrieval, after 24 and 48 hours of US, rats were brought to the laboratory at least 1 hr prior to experimentation. Freezing behaviour of animal was recorded for 733 sec. Test treatments and donepezil were administered within 60 and 30 min prior to each trial respectively, on days 2 and 3. After 733 sec of behavioural recording, animal was transferred to the home cage. Duration of freezing was recorded (no movement for about 3 seconds or more was scored as a freezing behaviour). Freezing threshold was set at 10 in the motion index for analysis. Chambers were cleaned with 70% ethanol between tests. Experiments were recorded using video camera, mounted on the cabinet ceiling and images were analyzed with freeze frame 3 software (V3.2.1).
Electrophysiological nerve conduction velocity recordings
In continuation of CFCE experiment for three days, on day 4 treatments were administered to record motor nerve conduction velocity (MNCV) and sensory nerve conduction velocity (SNCV) in control and IDNP rats. Methods for measuring MNCV and SNCV were adopted from previously published experimental protocols (Fontanesi et al. 2019) [see online supplementary material-2].
Brain homogenate preparation
Immediately, post electrophysiological nerve conduction velocity recordings of each rat, blood glucose estimation and brain sample collection were performed. Animals were euthanized using CO2 asphyxiation. Brain was carefully excised; brain regions like hippocampus and prefrontal cortex were isolated. After being moved to labeled micro centrifuge tubes, brain tissues were snap frozen in liquid nitrogen and kept below -80 °C for analysis.
Monoamaines quantification in right hippocampus
Right hippocampus samples were homogenized using an ultrasonic dismembrator probe in four times the volume of ice-cold 0.2 M perchloricacid with L-cysteine, vortexed and centrifuged for 10 min at 10,000 × g. Supernatant was transferred to High-Performance Liquid Chromatography (HPLC) vials for monomines (5-HT, NE, and DA) quantification using a C18 column (Hypersil BDS, 4.6 × 250 mm, 5 μm, Thermo Scientific, MA, USA) at 40 °C. For detecting monoamine levels, an electrochemical detector (BASi Epsilon ECD, IN, USA) was used. Monoamines were expressed in nmoL per gram of right hippocampal tissue.
IL-1b quantification in left hippocampus
Left hippocampal tissues were homogenized in four times the volume of tris buffer containing a complete mini protease inhibitor cocktail (Merck Millipore, MA, USA) in order to measure the levels of IL-1β. To get rid of residue, homogenate was centrifuged twice at 15,000 g for 15 minutes at 4° C after being lysed for 30 minutes at room temperature with light stirring. Using commercially available ELISA kits (Rat IL-1β/IL-1F2 Immunoassay Quantikine ELISA Kit; R&D Systems, MN, USA; Product code: RLB00; Calibration Range: 31.3pg/mL-2000 pg/mL), supernatants were subjected to the quantification of IL-1b levels. Concentrations of IL-1b were corrected for dilution and were expressed as pg/g.
BDNF quantification in prefrontal cortex
Prefrontal cortex tissues were homogenized using an ultrasonic dismembrator probe in phosphate buffer solution, an equal volume of Lysis Buffer was added, and tissues were lysed at room temperature for 30 minutes with light agitation. To get rid of debris, homogenate was centrifuged twice at 70,000 g for 20 minutes at 4° C. Using commercially available ELISA kits (Total BDNF Immunoassay Quantikine ELISA Kit; R&D Systems, MN, USA; Product code: PDBNT00; Calibration Range: 15.6 pg/mL - 1000 pg/mL), supernatants were subjected to the quantification of total BDNF levels. Concentrations of IL-1b were corrected for dilution and were expressed as pg/g.
Histopathological investigations
Immediately after nerve conduction studies, rats were sacrificed using CO2 asphyxiation. Sciatic nerve was dissected and kept in 10% of formalin; after two days, samples were processed and embedded in paraffin. Then slices were prepared – stained with Luxol Fast Blue Stain. Histological changes were examined using light microscopy.
Statistical analysis
Data are represented as Mean ± S.E.M. Related figure legends provide specifics on the actual sample sizes for each experiment. Two-way ANOVA and Bonferronis multiple comparison tests were used to evaluate PWTs, PWS and comparison between GBP groups and the LP-211 + GBP percentage of freezing. Two-way ANOVA and Dunnett’s multiple comparison tests were used to compare the freezing reaction between treatment groups and the control group. One-way ANOVA and Dunnett’s multiple comparison tests were used to assess discrimination index, nerve conduction velocity and the levels of inflammatory markers. A significant p-value was defined as less than 0.05. Graph Pad Prism 7.02 was used to perform statistical analyses.
Results
Influence of Insulin treatment on PWTs and PWS of DNP rats
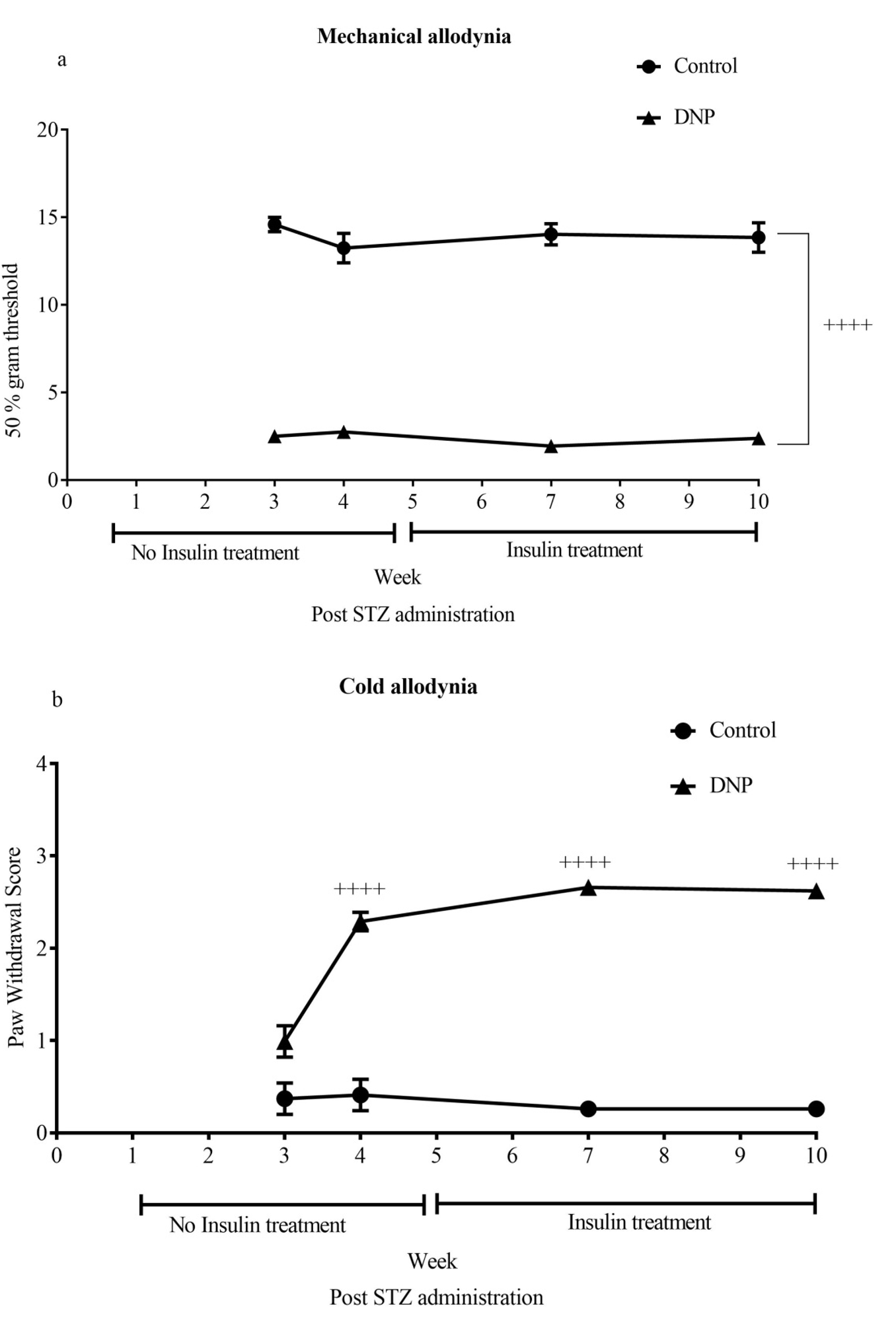
Following five-week after STZ administration, the DNP rats administered insulin at a dosage of 2 IU/kg, s.c. However, the insulin treatment did not result in any improvement in PWTs and PWS of the DNP rats (Fig. 2 a, b). A two-way ANOVA along with Bonferroni’s multiple comparison test revealed that the PWTs were significantly lower in the DNP rats compared to the control group at all assessed time points from week 3 to week 10, with treatment F (1, 208) = 1730, p<0.0001, time F (3, 208) = 0.886, p=0.4492, and interaction F (3, 208) = 1.845, p=0.1402. Additionally, the two-way ANOVA followed by Bonferroni’s multiple comparison test demonstrated that the PWS in the insulin-treated DNP rats were consistently higher than those in the control vehicle group, with treatment F (1, 208) = 209, p<0.0001, time F (3, 208) = 8.751, p<0.0001, and interaction F (3, 208) = 10.95, p<0.0001. This study revealed that PWTs significantly decreased after three weeks of STZ administration, while PWS showed significant alterations after four weeks of STZ administration when compared to the control vehicle group.
Figure 2. Effect of insulin on DNP rats. Note: (a) Mechanical allodynia, PWTs are represented as Mean ± S.E.M, (n=9-45). (b) Cold allodynia, PWS are represented as Mean ± S.E.M, (n=9-45), ++++p<0.0001, vs. Control rats, two-way ANOVA followed by Bonferroni’s multiple comparison test; STZ – streptozotocin; DNP – diabetic neuropathic pain.
LP-211, GBP in combination treatment enhanced recognition memory in IDNP rats
The observations from Dunnett’s post hoc test indicate that the discrimination index of IDNP vehicle group significantly decreased when compared to the control group (p<0.01). At 4 hour ITI, both combination therapy (LP-211 + GBP) and LP-211 showed a substantial increase in discrimination index when compared to the DNP vehicle treated group (Dunnett’s comparison test, p<0.01). Additionally, a significant difference (p<0.05) in the discrimination index was observed between IDNP vehicle treated group and the positive donepezil, LP-211 alone group, respectively (Fig. 3). Overall, one-way ANOVA revealed that the treatments significantly enhanced object recognition in NORT 4 hour ITI [F (5, 35) = 4.537, p = 0.0027].
Figure 3. Effect of treatments on recognition of novel and familiar objects. Note: Discrimination index was represented as Mean ± S.E.M, (n=6-8), ++p<0.01, vs. Control rats; *p<0.05, **p<0.01 vs. IDNP vehicle rats, one-way ANOVA followed by Dunnett's multiple comparison test; IDNP – insulin-treated diabetic neuropathic pain; GBP – gabapentin.
LP-211, GBP in combination treatment enhanced spatial memory in IDNP rats
One-way ANOVA, followed by Dunnett’s multiple comparison test, revealed a significant difference between the treatment, DNP vehicle, and control groups in the novel location recognition task at 4 hour ITI [F (5, 36) = 8.714, p<0.0001). When compared to the control group, the IDNP vehicle rats' discrimination index significantly decreased (Dunnett’s post hoc test, p<0.0001). Additionally, the rats treated with LP-211 alone (p<0.01), combination treatment LP-211 and GBP (p<0.001), and donepezil (p<0.01) revealed a substantially ability to identify and investigate the novel object location compared to IDNP vehicle group, according to the results of Dunnett’s multiple comparison test (Fig. 4).
Figure 4. Effect of treatments on recognition of location of novel and familiar objects. Note: Discrimination index was represented as Mean ± S.E.M, (n=6-8), ++++p<0.0001, vs. Control rats; **p<0.01,***p<0.001 vs. IDNP vehicle rats, one-way ANOVA followed byDunnett's multiple comparison test; IDNP – insulin-treated diabetic neuropathic pain; GBP – gabapentin.
LP-211, GBP in combination treatment enhanced emotional learning and memory in IDNP rats
At 4 and 24 hour ITI, no distinct difference in freezing behavior was observed between the groups (i.e. IDNP vehicle, control vehicle, test compounds treatments and donepezil treated group). Dunnett’s multiple comparison revealed significant difference in freezing between the GBP alone group and the IDNP vehicle group (p<0.0001 at 4 hours and p<0.001 at 24 hours ITI). When compared to the control vehicle group, the IDNP vehicle treatment group had a significantly lower freezing behavior at 48 hours ITI (Dunnett's post hoc test, p<0.01). Additionally, compared to the IDNP vehicle treated group, the combination treatment (LP-211 + GBP) demonstrated substantial freezing behavior at 48 hours ITI memory retrieval (Dunnett’s post hoc analysis, p<0.0001). LP-211 alone and donepezil did not demonstrate significant freezing behavior at 48 hours ITI when compared to that in IDNP vehicle treated group. Altogether, two-way ANOVA followed by Dunnett’s multiple comparison test, determine significant difference in freezing response in extinction memory phase across groups [treatment, F (5, 48) = 13.38, P<0.0001, time, F (2, 96) = 93.13, p<0.0001, interaction F (10, 96) = 8.238, p<0.0001) (Fig. 5). Similarly, when LP-211 + GBP compared with alone GBP group freezing response at all the tested time points, the freezing response of the combination treatment is significantly higher (Bonferroni’s multiple comparison test, p<0.0001). Two-way ANOVA followed by Bonferroni’s multiple comparison test freezing response between LP-211 + GBP and GBP alone represents groups [treatment, F (1, 16) = 51.1, P<0.0001, time, F (2, 32) = 2.064, p=0.1435, interaction F (2, 32) = 1.623, p=0.2132).
Figure 5. Effect of treatments on freezing response. Note: Percentage of freeze was represented as Mean ± S.E.M, (n=9), ++p<0.01 vs. Control rats; ###p<0.001, ####p<0.0001 vs. IDNP vehicle rats (decrease in freezing response), ****p<0.0001 vs. IDNP vehicle (increase in response), two-way ANOVA followed by Dunnett’s multiple comparison test. ^^^^p<0.0001 vs. GBP (increase in response of LP-211 + GBP) two-way ANOVA followed by Bonferroni’s multiple comparison test; DNP – diabetic neuropathic pain; GBP – gabapentin.
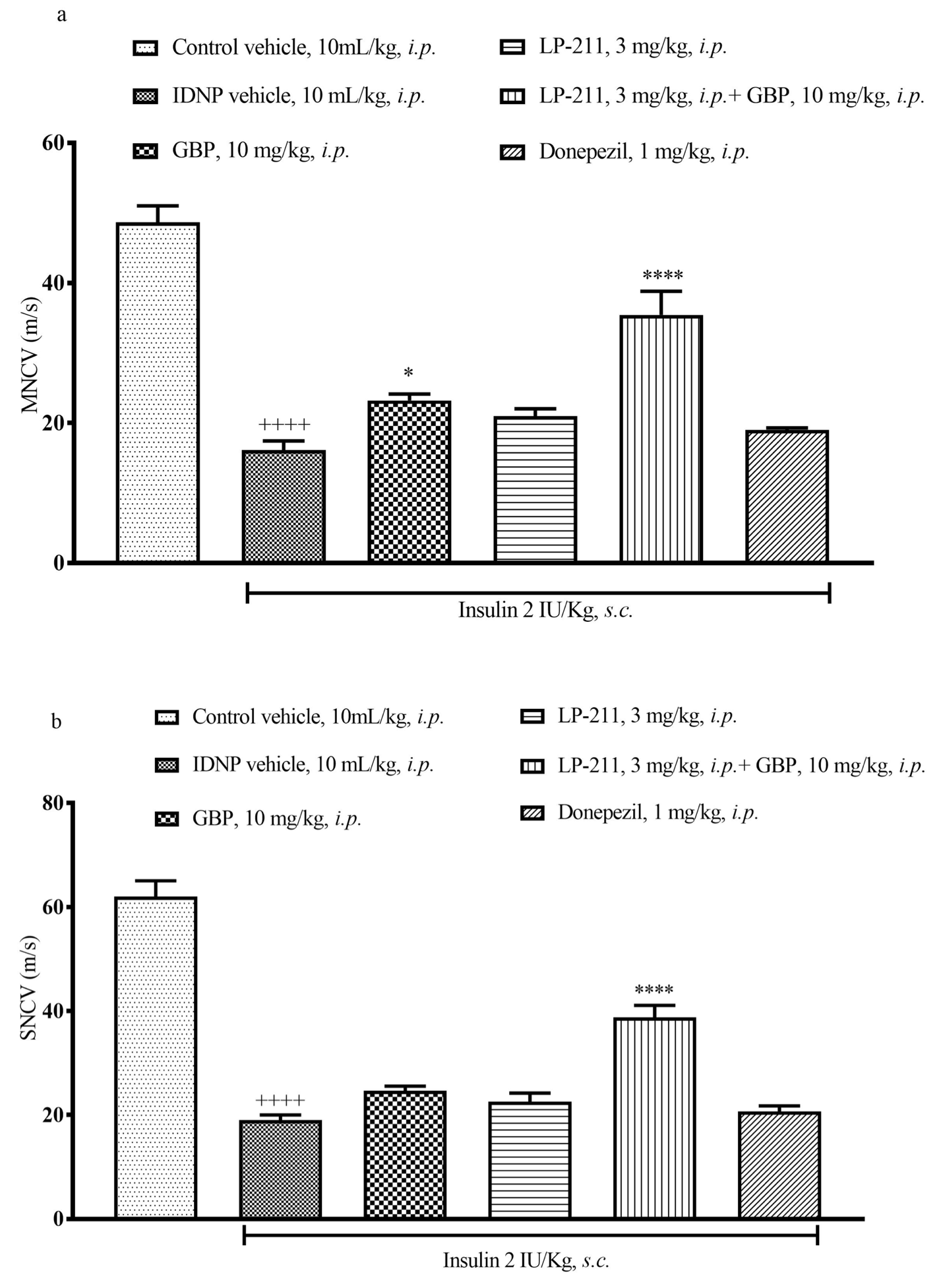
LP-211, GBP in combination reversed the decrease in nerve conduction velocity in IDNP rats
After five weeks of insulin treatment, the IDNP vehicle rats showed 16.14 ± 1.31 m/s compared with that of the control vehicle group 48.67 ± 2.33 m/s which was significantly slower (p<0.0001) (Fig. 6 a). Dunnett’s post hoc test showed significant increase in MNCV rats treated with LP-211 3 mg/kg + GBP 10 mg/kg (p<0.0001) and GBP 10 mg/kg (p<0.05) compared to the IDNP vehicle treated rats. One-way ANOVA showed significant treatment effects [F (5, 48) = 45.34, p<0.0001) compared to the IDNP vehicle group. Similarly, one-way ANOVA, followed by Dunnett’s multiple comparison test, revealed a significant difference between the treatment, DNP vehicle, and control groups [F (5, 48) = 81.6, p<0.0001) of sciatic SNCV of rats. The Dunnett’s post hoc test showed significant decrease in SNCV in IDNP vehicle rats compared with control rats 62.00 ± 3.06 m/s vs. 19.04 ± 0.95 m/s (p<0.0001) (Fig. 6 b). The SNCV in the of the rats treated with LP-211 3 mg/kg + GBP 10 mg/kg significantly improved conduction velocity (p<0.0001) compared to the IDNP rats.
Figure 6. Effect of treatments on nerve conduction velocity. Note: (a) MNCV and (b) SNCV was represented as Mean ± S.E.M, (n=9), (a) MNCV, ++++p<0.0001 vs. Control rats; *p<0.05, ****p<0.0001, vs. IDNP vehicle rats. (b) SNCV ++++p<0.0001 vs. Control rats; ****p<0.0001, vs. IDNP vehicle rats one-way ANOVA followed by Dunnett’s multiple comparison test; IDNP – insulin-treated diabetic neuropathic pain; GBP – gabapentin; MNCV – motor nerve conduction velocity; SNCV – sensory nerve conduction velocity.
LP-211, GBP in combination modulated the change in monoamines, IL-1b, BDNF in brain regions of IDNP rats
The results of monoamines, IL-1b, BDNF were expressed in percentage change comparing with mean of control vehicle group (Table 1). Statistically significant decrease in monoamines (5-HT, NE and DA) and BDNF was observed in the right hippocampus, and pre-frontal cortex of the IDNP vehicle treated group when compared to the control vehicle group using HPLC and ELISA methods, respectively. The decreased levels of 5-HT, NE and BDNF were significantly reversed by the LP-211 in combination with the GBP group (Dunnett’s post hoc test p<0.0001, P<0.01 respectively). Similarly, Donepezil showed significant increase in 5-HT levels (Dunnett’s post hoc test, P<0.01). Further, proinflammatory cytokines like IL-1β levels were predominantly increased in IDNP vehicle left hippocampus compared to control vehicle rats using ELISA (Dunnett’s post hoc test, P<0.0001). From Dunnett’s post hoc test determined, increased IL-1β levels were significantly decreased in LP-211 3mg/kg combination with GBP, 10mg/kg, vs. IDNP vehicle (P<0.0001). Overall, one-way ANOVA followed by Dunnett’s multiple comparison test determined significant treatment effect between the groups, (5-HT, F (5, 48) = 8.291, P<0.0001), (NE, F (5, 48) = 4.378, P=0.0023), (BDNF, F (5, 48) = 3.202, P=0.0142) and (IL-1β, F (5, 46) = 14.46, P<0.0001), respectively.
|
Table 1. |
Download as |
||
|
Represent change in percentage of monoamines, IL-1β levels from hippocampus and percentage BDNF levels from prefrontal cortex compared to control vehicle group |
|||
|
Treatment |
%5-HT |
%NE |
%DA |
%IL-1β |
%BDNF |
|
Control vehicle |
100 ± 10.0 |
100 ± 5.5 |
100 ± 5.2 |
100 ± 2.4 |
100 ± 5.7 |
|
DNP vehicle |
58.3 ± 10.1++ |
59.4 ± 9.0+ |
66.4 ± 5.5++ |
146.7 ± 6 ++++ |
64.4±4.3+ |
|
GBP, 10mg/kg |
71.5 ± 6.8 |
61.1 ± 13.5 |
64.2 ± 7.5 |
126 ± 5.01* |
88.3± 7.9 |
|
LP-211, 3mg/kg |
91.5 ± 9.6 |
81.5 ± 11.1 |
81.9 ± 8.0 |
129.4 ± 5.5 |
89.4±15.3 |
|
LP-211,3mg/kg |
131 ± 8.2**** |
108 ± 7.3** |
92 ± 4.1 |
103.1 ± 2.6**** |
114.8±9.1** |
|
+GBP, 10mg/kg |
|
|
|
|
|
|
Donepezil, 1mg/kg |
101 ± 7.6** |
90.8 ± 9.5 |
90.7 ± 9.9 |
130.4 ± 5.72 |
95.6± 9.2 |
Note: Results are shown as mean ± S.E.M (n=7-9), +p<0.05, ++p<0.01, ++++p<0.0001 vs. control vehicle, *p<0.05, **p<0.01, ****p<0.0001 vs. IDNP vehicle, one-way ANOVA followed by Dunnett’s multiple comparisons test; DNP – insulin-treated diabetic neuropathic pain; GBP – gabapentin.
Effect of LP-211, GBP in combination on sciatic nerve morphological changes in IDNP rats
Light microscopy of sciatic sections showed no changes in myelin sheath of control vehicle group (Fig.7). Myelin sheath splitting was observed in IDNP vehicle group. Combination of LP-211 + GBP acute (4 days) dosing showed a trend towards recovery of myelin sheath. Further, chronic dosing may show prominent improvement in complete recovery of myelin sheath.
Figure 7. Histological changes observed in sciatic nerve of (a) Control rats showed normal myelinated nerve fibers and morphology. (b) Diabetic rats showed breakdown and demyelination of sciatic nerve (arrow). (e) LP-211, 3 mg/kg, i.p.+ GBP, 10 mg/kg, i.p. treated rats showed recovery of demyelinated nerve fibers. Note: IDNP – insulin-treated diabetic neuropathic pain; GBP – gabapentin.
Discussion
This study was mainly designed to evaluate, for the first time, the effects of LP-211 alone and in combination with GBP in STZ-induced DNP animals. Further, central mechanistic approach was tried to obtain through evaluating biomarkers like IL-1β, monoamines, BDNF, from brain regions and peripherally studied NCV and histopathology of sciatic nerve.
We demonstrated that STZ-induced diabetic rats exhibited sensory components such as a decrease in PWTs when tested with Von Frey filaments and an increase in PWS when exposed to the acetone drop test, which are associated with neuropathic pain symptoms. These sensory symptoms may be due to hyperglycemic conditions, decreased nerve conduction velocity, and increased pro-inflammatory cytokines IL-1β in diabetic rats. These observations are in line with existing literature (Gui et al. 2016; Novello and Pobre 2024). A decrease in PWTs was detected following three weeks of STZ treatment. Conversely, an increase in PWS to the acetone test was observed after four weeks of STZ injection, indicating that the onset of symptoms such as mechanical and cold allodynia does not occur concurrently in diabetic rats (Jesus et al. 2021). Further, these results align with clinical observations that diabetic patients may experience sensory symptoms at various phases of neuropathy (Tesfaye et al. 2010).
As per literature evidence, STZ-induced hyperglycemic conditions were well controlled by insulin treatment (Upadhyay et al. 2021). Similarly, in this study, insulin treatment controlled hyperglycemic conditions and decreased body weight in DNP rats [see online supplementary material-1]. In contrast, sensory components like mechanical allodynia, cold allodynia were not alleviated by insulin up on chronic treatment in IDNP rats. Supporting this, studies have reported that although insulin controls increased blood glucose conditions, it may not be effective in treating DNP and its comorbidities (Ebata-Kogure et al. 2017). These results highlight the need to identify and treat DNP and its comorbidities, not just control the disease but also prevent complications associated with diabetes.
The effect of diabetes on the peripheral nervous system has been studied more than on the central nervous system, but it is apparent that people with and without DNP are at risk of cognitive decline (Ansari et al. 2023). Similarly, people suffering from DNP, even after treatment with insulin and analgesics, show cognitive decline (Palomo-Osuna et al. 2022). Preclinical studies have described memory retention deficits in rodents with STZ-induced diabetes (Moriarty et al. 2016; Baluchnejadmojarad et al. 2017). In the current study, we demonstrated that IDNP rats showed retention deficits in three different memory tasks like CFCE, NORT, and NLRT. Overall, diabetic rats with neuropathic pain demonstrated the integrated nature of memory loss.
It is important to deepen studies in search of effective treatments that can cure or delay the emergence of these deficits in memory and the learning process. It has been demonstrated that the 5-HT7 agonist LP-211 improves spatial and recognition memory (De Filippis et al. 2015; Beaudet et al. 2017; Carbone et al. 2018; Villegas et al. 2019). However, the animals used in these studies did not have diabetes or neuropathic pain; they were non diabetic and free of neuropathic conditions.. Incontrast, the current study focused on DNP rats and found that LP-211 alone at 3 mg/kg and donepezil showed an improvement in declarative memory through an increased ability to recall both familiar and unfamiliar objects in the NORT study. Additionally, both treatments improved spatial memory by promoting the impulse to explore objects in the NLRT task at 4 hour ITI. Donepezil is approved for treating cognitive deficits in Alzheimer’s patients and has never before been studied in neuropathic pain-induced cognitive deficits. The advantage of using donepezil in this study is that it demonstrated significant analgesic and neuroprotective-like activity in both diabetic and non-diabetic pain conditions (Atef et al. 2019; Kim et al. 2017). In clinics, DNP patients try to manage disease conditions and comorbidities using frequent treatments like insulin therapy, analgesics, and cognitive enhancers (Naranjo et al. 2020). The most predominantly used analgesic to maintain neuropathic pain conditions in the clinic is GBP. Importantly, neuropathic pain patients treated with GBP showed a high prevalence of cognitive impairment (Povedano et al. 2007). The observed cognitive impairment may not be related to the treatment, as the doses of GBP are flexible. Thus, we can hypothesize that the observed results demonstrated GBP alone in IDNP rats did not show statistically significant improvement in the discriminative index in learning memory tasks; at the same time, GBP alone did not worsen cognitive impairment in IDNP rats. Exploration time towards the novel object and novel location is more than the familiar object and familiar location, respectively, in both NORT and NLRT studies. All these beneficial effects of LP-211 and GBP alone were also observed in the combination therapy of LP-211 and GBP. Convincingly, combination treatment showed potential efficacy in both the tasks.
Despite the beneficial effects observed in the NORT and NLRT studies, our findings did not show persistent effects in the CFCE task. When IDNP animals were tested in the CFCE task, vehicle-treated IDNP rats exhibited freezing behavior similar to that of the control vehicle group during the contextual fear conditioning task, specifically at an inter-trial interval of four hours during the acquisition phase. This response may be attributed to the affective components, particularly anxiety, associated with neuropathic pain. Anxiety is frequently observed as comorbidity in cases of neuropathic pain (Zhu et al. 2024). The observed anxiety during the CFCE task may be due to the shock (unconditional stimulus), which serves as a sudden painful stimulus, possibly leading to the formation of an associative memory characterized by emotional arousal (Coray and Qeudnow 2022). Similarly, both the test compound and donepezil groups demonstrated freezing behavior comparable to that of the control group. Particularly, the IDNP group treated with GBP exhibited a significant reduction in freezing response, probably due to the anxiolytic effects of GBP (Hong et al. 2022). It is worth mentioning the over-consolidation of fear memory in neuropathic pain in STZ-treated animals (Gaspar et al. 2022; Chaves et al. 2024). In this study, rats were subjected to repeated exposure to the same context at 24 and 48 hours. Freezing behavior of the IDNP vehicle group was significantly reduced in comparison to that in the control group after 48 hours of repeated context exposure. This reduction may be linked to decreased anxiety levels following repeated exposure (Leer et al. 2018). Additionally, a decrease in freezing behavior was noted across all groups, which may be attributed to the fact that fear extinction memory is more susceptible to disremembering and tends to lose its influence over behavior more rapidly than the original fear memory (Liu et al. 2024). Rats treated with LP-211 alone and donepezil also showed a reduction in freezing behavior after repeated testing in the same contextual chambers up to 48 hours. The combination of LP-211 and GBP showed significant increase in freezing behavior at the 48 hour time point. Thus, the increase in freezing behavior in combination treatment may be attributed to LP-211 and GBP properties in modulating pain (Santello et al. 2017; Chincholkar 2018). In addition, when compared between GBP alone and combination of LP-211 + GBP freezing response, combination treatment showed a significant increase in freezing percentage at 4, 24 and 48 hour time points. Overall, findings from the CFCE task specify that the combination of LP-211 and GBP develops both short term and long-term memory in the context of fear extinction.
Possible peripheral mechanism of LP-211 and GBP combination in IDNP rats from electrophysiological observations confirmed that the decrease in nerve conduction velocity observed in IDNP vehicle-treated rats indicates a painful neuropathic pain condition, which aligns with current literature (Novello and Pobre 2024). Similarly, in the clinic, electrophysiological aberrations in nerve conduction are a common sign for both neuropathic pain and cognitive abnormalities (Hyllienmark et al. 2013; Qian et al. 2022). The decrease in MNCV and SNCV in IDNP vehicle-treated rats was significantly improved by LP-211 and GBP combination treatment. Furthermore, histopathological evidence showed that myelin sheath splitting in IDNP sciatic nerve. There was a trend in recovery of demyelinated sciatic nerve observed in combination treatment group. Thus, the observed effects suggest that the LP-211 and GBP combination may improve both neuropathic pain and cognitive deficiencies.
In addition, IDNP rats showed an increase in IL-1β and a decrease in monoamines in the brain region like hippocampus, and a decrease in BDNF in prefrontal cortex. In neuropathic pain condition, an increase in IL-1β levels in the cognitive brain centers causes cognitive deficit (Gui et al. 2016). Thus, we speculate that an increase in IL-1β in the hippocampus will decrease monoamines and BDNF in the cognitive brain centers, resulting in cognitive deficits in neuropathic pain. As per literature evidence, monoamines and BDNF play a critical role in the modulation of cognitive functions (Lu et al. 2014; Miranda et al. 2019). However, the exact underlying mechanism needs further examination. Further to this, the onset of development of neuropathic pain in STZ treated rats observed after 2-3 weeks of STZ administration (Alba-Delgado et al. 2016). This indicates that there is an increase in pain component like inflammatory mediators. Comorbidities develop after a prolonged condition of sustained diabetic neuropathic pain (Alba-Delgado et al. 2016). This further supports that an increase in inflammatory mediators may also result in development of comorbidities in DNP rats. LP-211 in combination with GBP treatment significantly modulated the altered IL-1β, monoamines and BDNF in the cognitive centers. Further to this, the standard drug donepezil managed change in monoamines and BDNF in IDNP rats equal to the control levels (Hussein et al. 2020; Jian et al. 2020). The observed efficacy of LP-211 alone and donepezil may be due to modulation of monoamines and BDNF in learning memory task. Similarly, combination treatment enhanced memory retrieval in learning and extinction emotional memory task may be attributed to a decrease in inflammatory mediators and increased levels of 5-HT, NE, BDNF in IDNP rats.
Limitations of this study include testing the effects of LP-211 and GBP in only male rats at acute dosing. Further, we plan to investigate the effects of LP-211 and GBP in female rats at chronic dosing, considering that in the clinic, women diabetic patients are in higher proportion than male diabetic patients.
Conclusion
The results of this study demonstrated that acute treatment (2 days) of LP-211, (3mg/kg), donepezil, (1mg/kg), and the combination LP-211, (3mg/kg) with GBP, (10 mg/kg) showed improvements in incidental learning memory tasks. Especially, the LP-211 and GBP combination significantly enhanced the integrated nature of memory functions by improving three distinct types of memory. Furthermore, a 4-day acute treatment with LP-211 and GBP combination significantly modulated cognitive biomarkers at both centrally in brain regions such as monoamines, BDNF, IL-1β and at peripherally in sciatic nerve, as demonstrated by enhanced NCV. These findings suggest that this combination treatment may help to alleviate comorbid cognitive deficits associated with DNP. Overall, the study findings warrant further investigation in different species.
Additional Information
Conflict of interest
The authors declare the absence of a conflict of interests.
Funding
The authors have no funding to report.
Ethics statement
Study protocol followed the guidelines of the government of India’s Committee for Control and Supervision of Experiments on Animals (CCSEA) rules and regulations were followed when carrying out the standard operating procedures. The Institutional Animal Ethics Committee (IAEC) of Suven Life Sciences Limited approved the current study protocol (IVP-PRO-745-01, dated July 29, 2023). Complete care was taken to minimize animal suffering and usage.
Data availability
All the experimental data will be made available upon request.
References
§ Alba-Delgado C, Cebada-Aleu A, Mico JA, Berrocoso E (2016) Comorbid anxiety-like behavior and locus coeruleus impairment in diabetic peripheral neuropathy: A comparative study with the chronic constriction injury model. Progress in Neuropsychopharmacology and Biological Psychiatry 71: 45–56. https://doi.org/10.1016/j.pnpbp.2016.06.007 [PubMed]
§ American Diabetes Association (2009) Diagnosis and classification of diabetes mellitus. Diabetes Care Suppl 1(Suppl 1): S62–67. https://doi.org/10.2337/dc09-s062 [PubMed] [PMC]
§ Ansari MA, Al-Jarallah A, Babiker FA (2023) Impaired insulin signaling alters mediators of hippocampal synaptic dynamics/plasticity: A possible mechanism of hyperglycemia-induced cognitive impairment. Cells 12(13): 1728. https://doi.org/10.3390/cells12131728 [PubMed] [PMC]
§ Atef MM, El-Sayed NM, Ahmed AAM, Mostafa YM (2019) Donepezil improves neuropathy through activation of AMPK signaling pathway in streptozotocin-induced diabetic mice. Biochemical Pharmacology 159: 1–10. https://doi.org/10.1016/j.bcp.2018.11.006 [PubMed]
§ Avital A, Goshen I, Kamsler A, Segal M, Iverfeldt K, Richter-Levin G, Yirmiya R (2003) Impaired interleukin-1 signaling is associated with deficits in hippocampal memory processes and neural plasticity. Hippocampus 13(7): 826–834. https://doi.org/10.1002/hipo.10135 [PubMed]
§ Baluchnejadmojarad T, Kiasalari Z, Afshin-Majd S, Ghasemi Z, Roghani M (2017) S-allyl cysteine ameliorates cognitive deficits in streptozotocin-diabetic rats via suppression of oxidative stress, inflammation, and acetylcholinesterase. European Journal of Pharmacology 794: 69–76. https://doi.org/10.1016/j.ejphar.2016.11.033 [PubMed]
§ Beaudet G, Bouet V, Jozet-Alves C, Schumann-Bard P, Dauphin F, Paizanis E, Boulouard M, Freret T (2015) Spatial memory deficit across aging: current insights of the role of 5-HT7 receptors. Frontiers in Behavioral Neuroscience 8: 448. https://doi.org/10.3389/fnbeh.2014.00448 [PubMed] [PMC]
§ Beaudet G, Paizanis E, Zoratto F, Lacivita E, Leopoldo M, Freret T, Laviola G, Boulouard M, Adriani W (2017) LP-211, a selective 5-HT7 receptor agonist, increases novelty-preference and promotes risk-prone behavior in rats. Synapse 71(12). https://doi.org/10.1002/syn.21995 [PubMed]
§ Beeri MS, Sonnen J (2016) Brain BDNF expression as a biomarker for cognitive reserve against Alzheimer disease progression. Neurology 86(8): 702–703. https://doi.org/10.1212/wnl.0000000000002389 [PubMed]
§ Bellush LL, Reid SG (1991) Altered behavior and neurochemistry during short-term insulin withdrawal in streptozocin-induced diabetic rats. Diabetes 40(2): 217–222. https://doi.org/10.2337/diab.40.2.217 [PubMed]
§ Cai Y, Li X, Zhou H, Zhou J (2022) The serotonergic system dysfunction in diabetes mellitus. Frontiers in Cellular Neuroscience 16: 899069. https://doi.org/10.3389/fncel.2022.899069 [PubMed] [PMC]
§ Carbone C, Adinolfi A, Cinque S, Lacivita E, Alleva E, Leopoldo M, Adriani W (2018) Activation of 5-HT7 receptor by administration of its selective agonist, LP-211, modifies explorative-curiosity behavior in rats in two paradigms which differ in visuospatial parameters. CNS Neuroscience and Therapeutics 24(8): 712–720. https://doi.org/10.1111/cns.12812 [PubMed] [PMC]
§ Chaves YC, Raymundi AM, Waltrick APF, de Souza Crippa JA, Stern CAJ, da Cunha JM, Zanoveli JM (2024) Cannabidiol modulates contextual fear memory consolidation in animals with experimentally induced type-1 diabetes mellitus. Acta Neuropsychiatrica 36(5): 276–286. https://doi.org/10.1017/neu.2023.13 [PubMed]
§ Chincholkar M (2018) Analgesic mechanisms of gabapentinoids and effects in experimental pain models: a narrative review. British Journal of Anaesthesia 120(6): 1315–1334. https://doi.org/10.1016/j.bja.2018.02.066 [PubMed]
§ Coray R, Quednow BB (2022) The role of serotonin in declarative memory: A systematic review of animal and human research. Neuroscience and Biobehavioral Reviews 139: 104729. https://doi.org/10.1016/j.neubiorev.2022.104729 [PubMed]
§ Costa L, Sardone LM, Bonaccorso CM, D'Antoni S, Spatuzza M, Gulisano W, Tropea MR, Puzzo D, Leopoldo M, Lacivita E, Catania MV, Ciranna L (2018) Activation of serotonin 5-HT7 receptors modulates hippocampal synaptic plasticity by stimulation of adenylate cyclases and rescues learning and behavior in a mouse model of fragile X syndrome. Frontiers in Molecular Neuroscience 11: 353. https://doi.org/10.3389/fnmol.2018.00353 [PubMed] [PMC]
§ Cummings JL, Osse AML, Kinney JW, Cammann D, Chen J (2024) Alzheimer’s disease: Combination therapies and clinical trials for combination therapy development. CNS Drugs 38(8): 613–624. https://doi.org/10.1007/s40263-024-01103-1 [PubMed] [PMC]
§ D'Amico D, Gener T, de Lagrán MM, Sanchez-Vives MV, Santos M, Dierssen M (2017) Infralimbic neurotrophin-3 infusion rescues fear extinction impairment in a mouse model of pathological fear. Neuropsychopharmacology 42(2): 462–472. https://doi.org/10.1038/npp.2016.154 [PubMed] [PMC]
§ De Filippis B, Chiodi V, Adriani W, Lacivita E, Mallozzi C, Leopoldo M, Domenici MR, Fuso A, Laviola G (2015) Long-lasting beneficial effects of central serotonin receptor 7 stimulation in female mice modeling Rett syndrome. Frontiers in Behavioral Neuroscience 9: 86. https://doi.org/10.3389/fnbeh.2015.00086 [PubMed] [PMC]
§ Ebata-KogureN, Nozawa KM, Aya T, Tetsumi HagaY, Fujii K (2017) Clinical and economic burdens experienced by patients with painful diabetic peripheral neuropathy: An observational study using a Japanese claims database. PLoS One 12(10): e0187250. https://doi.org/10.1371/journal.pone.0187250 [PubMed] [PMC]
§ Fontanesi LB, Fazan FS, Dias FJ, Schiavoni MCL, Marques W Jr, Fazan VPS (2019) Sensory and motor conduction velocity in spontaneously hypertensive rats: sex and aging investigation. Frontiers in Systems Neuroscience 13: 62. https://doi.org/10.3389/fnsys.2019.00062 [PubMed] [PMC]
§ Gallo A, Pillet LE, Verpillot R (2021) New frontiers in Alzheimer’s disease diagnostic: Monoamines and their derivatives in biological fluids. Experimental Gerontology 152: 111452. https://doi.org/10.1016/j.exger.2021.111452 [PubMed]
§ Gáspár A, Hutka B, Ernyey AJ, Tajti BT, Varga BT, Zádori ZS, Gyertyán I (2022) Performance of the intracerebroventricularly injected streptozotocin Alzheimer’s disease model in a translationally relevant, aged and experienced rat population. Scientific Reports 12(1): 20247. https://doi.org/10.1038/s41598-022-24292-5 [PubMed] [PMC]
§ González-Sanmiguel J, Burgos CF, Bascuñán D, Fernández-Pérez EJ, Riffo-Lepe N, Boopathi S, Fernández-Pérez A, Bobadilla-Azócar C, González W, Figueroa M, Vicente B, Aguayo LG (2020) Gabapentin inhibits multiple steps in the amyloid beta toxicity cascade. ACS Chemical Neuroscience 11(19): 3064–3076. https://doi.org/10.1021/acschemneuro.0c00414 [PubMed]
§ Groeneveld O, Reijmer Y, Heinen R, Kuijf H, Koekkoek P, Janssen J, Rutten G, Kappelle L, Biessels G; COG-ID study group (2018) Brain imaging correlates of mild cognitive impairment and early dementia in patients with type 2 diabetes mellitus. Nutrition, Metabolism & Cardiovascular Diseases 28(12): 1253–1260. https://doi.org/10.1016/j.numecd.2018.07.008 [PubMed]
§ Gui WS, Wei X, Mai CL, Murugan M, Wu LJ, Xin WJ, Zhou LJ, Liu XG (2016) Interleukin-1β overproduction is a common cause for neuropathic pain, memory deficit, and depression following peripheral nerve injury in rodents. Molecular Pain 12: 1744806916646784. https://doi.org/10.1177/1744806916646784 [PubMed] [PMC]
§ Gwathmey KG, Pearson KT (2019) Diagnosis and management of sensory polyneuropathy. British Medical Journal 365: l1108. https://doi.org/10.1136/bmj.l1108
§ Hao S, Shi W, Liu W, Chen QY, Zhuo M (2023) Multiple modulatory roles of serotonin in chronic pain and injury-related anxiety. Frontiers in Synaptic Neuroscience 15: 1122381. https://doi.org/10.3389/fnsyn.2023.1122381 [PubMed] [PMC]
§ Hong JSW, Atkinson LZ, Al-Juffali N, Awad A, Geddes JR, Tunbridge EM, Harrison PJ, Cipriani A (2022) Gabapentin and pregabalin in bipolar disorder, anxiety states, and insomnia: Systematic review, meta-analysis, and rationale. Molecular Psychiatry 27(3): 1339–1349. https://doi.org/10.1038/s41380-021-01386-6 [PubMed] [PMC]
§ Huang W, Lin Z, Sun A, Deng J, Manyande A, Xiang H, Zhao GF, Hong Q (2023) The role of gut microbiota in diabetic peripheral neuropathy rats with cognitive dysfunction. Frontiers in Microbiology 14: 1156591. https://doi.org/10.3389/fmicb.2023.1156591 [PubMed] [PMC]
§ Hussein RA, Afifi AH, Soliman AAF, El Shahid ZA, Zoheir KMA, Mahmoud KM (2020) Neuroprotective activity of Ulmus pumila L. in Alzheimer’s disease in rats; role of neurotrophic factors. Heliyon 6(12): e05678. https://doi.org/10.1016/j.heliyon.2020.e05678 [PubMed] [PMC]
§ Hyllienmark L, Alstrand N, Jonsson B, Ludvigsson J, Cooray G, Wahlberg-Topp J (2013) Early electrophysiological abnormalities and clinical neuropathy: A prospective study in patients with type 1 diabetes. Diabetes Care 36(10): 3187–3194. https://doi.org/10.2337/dc12-2226 [PubMed] [PMC]
§ Izquierdo I, Medina JH, Vianna MR, Izquierdo LA, Barros DM (1999) Separate mechanisms for short- and long-term memory. Behavioural Brain Research 103(1): 1–11. https://doi.org/10.1016/S0166-4328(99)00036-4 [PubMed]
§ Jesus CHA, Scarante FF, Schreiber AK, Gasparin AT, Redivo DDB, Rosa ES, da Cunha JM (2022) Comparative study of cold hyperalgesia and mechanical allodynia in two animal models of neuropathic pain: Different etiologies and distinct pathophysiological mechanisms. Brazilian Journal of Pharmaceutical Sciences 58: e20637. https://doi.org/10.1590/s2175-97902022e20637
§ Jian WX, Zhang Z, Zhan JH, Chu SF, Peng Y, Zhao M, Wang Q, Chen NH (2020) Donepezil attenuates vascular dementia in rats through increasing BDNF induced by reducing HDAC6 nuclear translocation. Acta Pharmacologica Sinica 41(5): 588–598. https://doi.org/10.1038/s41401-019-0334-5 [PubMed] [PMC]
§ Kayser V, Christensen D (2000) Antinociceptive effect of systemic gabapentin in mononeuropathic rats, depends on stimulus characteristics and level of test integration. Pain 88(1): 53–60. https://doi.org/10.1016/S0304-3959(00)00307-9 [PubMed]
§ Kim SH, Kandiah N, Hsu JL, Suthisisang C, Udommongkol C, Dash A (2017) Beyond symptomatic effects: potential of donepezil as a neuroprotective agent and disease modifier in Alzheimer’s disease. British Journal of Pharmacology 174(23): 4224–4232. https://doi.org/10.1111/bph.14030 [PubMed] [PMC]
§ Leer A, Haesen K, Vervliet B (2018) Beyond extinction: Prolonged conditioning and repeated threat exposure abolish contextual renewal of fear-potentiated startle discrimination but leave expectancy ratings intact. Frontiers in Psychiatry 9: 117. https://doi.org/10.3389/fpsyt.2018.00117 [PubMed] [PMC]
§ Liu Y, Ye S, Li XN, Li WG (2024) Memory trace for fear extinction: Fragile yet reinforceable. Neuroscience Bulletin 40(6): 777–794. https://doi.org/10.1007/s12264-023-01129-3 [PubMed] [PMC]
§ Lu B, Nagappan G, Lu Y (2014) BDNF and synaptic plasticity, cognitive function, and dysfunction. Handbook of Experimental Pharmacology 220: 223–250. https://doi.org/10.1007/978-3-642-45106-5_9 [PubMed]
§ Mahdi O, Chiroma SM, Hidayat Baharuldin MT, Mohd Nor NH, Mat Taib CN, Jagadeesan S, Devi S, Mohd Moklas MA (2021) WIN55,212-2 attenuates cognitive impairments in AlCl3 + d-galactose-induced Alzheimer’s disease rats by enhancing neurogenesis and reversing oxidative stress. Biomedicines 9(9): 1270. https://doi.org/10.3390/biomedicines9091270 [PubMed] [PMC]
§ Martin R, Kuzniecky R, Ho S, Hetherington H, Pan J, Sinclair K, Gilliam F, Faught E (1999) Cognitive effects of topiramate, gabapentin, and lamotrigine in healthy young adults. Neurology 52(2): 321–327. https://doi.org/10.1212/WNL.52.2.321 [PubMed]
§ Mei D, Wang F, Yuan B, Lai M, Zhou Y, Cui W, Liu H, Zhou W (2023) Cognitive anhancer donepezil attenuates heroin-seeking behavior induced by cues in rats. Journal of Integrative Neuroscience 22(3): 76. https://doi.org/10.31083/j.jin2203076 [PubMed]
§ Miranda M, Morici JF, Zanoni MB, Bekinschtein P (2019) Brain-derived neurotrophic factor: a key molecule for memory in the healthy and the pathological brain. Frontiers in Cellular Neuroscience 13: 363. https://doi.org/10.3389/fncel.2019.00363 [PubMed] [PMC]
§ Moriarty O, Lang Y, Idrees Z, McGuire BE, Finn DP (2016) Impaired cued and spatial learning performance and altered cannabinoid CB₁ receptor functionality in the substantia nigra in a rat model of diabetic neuropathy. Behavioural Brain Research 303: 61–70. https://doi.org/10.1016/j.bbr.2016.01.027 [PubMed]
§ Nahdi AMTA, John A, Raza H(2017) Elucidation of molecular mechanisms of streptozotocin-induced oxidative stress, Apoptosis, and Mitochondrial Dysfunction in Rin-5F Pancreatic β-Cells. Oxidative Medicine and Cellular Longevity 7054272. https://doi.org/10.1155/2017/7054272 [PubMed] [PMC]
§ Naranjo C, Ortega-Jiménez P, Del Reguero L, Moratalla G, Failde I (2020) Relationship between diabetic neuropathic pain and comorbidity. Their impact on pain intensity, diabetes complications and quality of life in patients with type-2 diabetes mellitus. Diabetes Research and Clinical Practice 165: 108236. https://doi.org/10.1016/j.diabres.2020.108236 [PubMed]
§ Nirogi R, Goura V, Shanmuganathan D, Jayarajan P, Abraham R (2012) Comparison of manual and automated filaments for evaluation of neuropathic pain behavior in rats. Journal of Pharmacological and Toxicological Methods 66(1): 8–13. https://doi.org/10.1016/j.vascn.2012.04.006 [PubMed]
§ Nirogi R, Jabaris SL, Jayarajan P, Abraham R, Shanmuganathan D, Rasheed MA, Royapalley PK, Goura V (2011) Antinociceptive activity of α4β2* neuronal nicotinic receptor agonist A-366833 in experimental models of neuropathic and inflammatory pain. European Journal of Pharmacology 668(1-2): 155–162. https://doi.org/10.1016/j.ejphar.2011.06.032 [PubMed]
§ Novello BJ, Pobre T (2025) Electrodiagnostic evaluation of peripheral neuropathy. StatPearls, Island, StatPearls Publishing. [PMC]
§ Oh G, Moga DC, Fardo DW, Abner EL (2022) The association of gabapentin initiation and neurocognitive changes in older adults with normal cognition. Frontiers in Pharmacology 13: 910719. https://doi.org/10.3389/fphar.2022.910719 [PubMed] [PMC]
§ Ong WY, Stohler CS, Herr DR (2019) Role of the prefrontal cortex in pain processing. Molecular Neurobiology 56(2): 1137–1166. https://doi.org/10.1007/s12035-018-1130-9 [PubMed] [PMC]
§ Palomo-Osuna J, Dueñas M, Naranjo C, De Sola H, Salazar A, Failde I (2022) Factors related to cognitive function in type-2 diabetes and neuropathic pain patients, the role of mood and sleep disorders in this relationship. Scientific Reports 12(1): 15442. https://doi.org/10.1038/s41598-022-18949-4 [PubMed] [PMC]
§ Park CM, Inouye SK, Marcantonio ER, Metzger E, Bateman BT, Lie JJ, Lee SB, Levin R, Kim DH (2022) Perioperative gabapentin use and in-hospital adverse clinical events among older adults after major surgery. JAMA Internal Medicine 182(11): 1117–1127. https://doi.org/10.1001/jamainternmed.2022.3680 [PubMed] [PMC]
§ Perez-García GS, Meneses A (2005) Effects of the potential 5-HT7 receptor agonist AS 19 in an autoshaping learning task. Behavioural Brain Research 163(1): 136–140. https://doi.org/10.1016/j.bbr.2005.04.014 [PubMed]
§ Povedano M, Gascón J, Gálvez R, Ruiz M, Rejas J (2007) Cognitive function impairment in patients with neuropathic pain under standard conditions of care. Journal of Pain and Symptom Management 33(1): 78–89. https://doi.org/10.1016/j.jpainsymman.2006.07.012 [PubMed]
§ Puig MV, Gulledge AT (2011) Serotonin and prefrontal cortex function: neurons, networks, and circuits. Molecular Neurobiology 44(3): 449–464. https://doi.org/10.1007/s12035-011-8214-0 [PubMed] [PMC]
§ Qian X, Yue L, Mellor D, Robbins NM, Li W, Xiao S (2022) Reduced peripheral nerve conduction velocity is associated with Alzheimer’s disease: A cross-sectional study from China. Neuropsychiatric Disease and Treatment 18: 231–242. https://doi.org/10.2147/NDT.S349005 [PubMed] [PMC]
§ Roberts FL, Cataldo LR, Fex M (2023) Monoamines’ role in islet cell function and type 2 diabetes risk. Trends in Molecular Medicine 29(12): 1045–1058. https://doi.org/10.1016/j.molmed.2023.08.009 [PubMed]
§ Salinsky MC, Binder LM, Oken BS, Storzbach D, Aron CR, Dodrill CB (2002) Effects of gabapentin and carbamazepine on the EEG and cognition in healthy volunteers. Epilepsia 43(5): 482–490. https://doi.org/10.1046/j.1528-1157.2002.22501.x [PubMed]
§ Santello M, Bisco A, Nevian NE, Lacivita E, Leopoldo M, Nevian T (2017) The brain-penetrant 5-HT7 receptor agonist LP-211 reduces the sensory and affective components of neuropathic pain. Neurobiology of Disease 106: 214–221. https://doi.org/10.1016/j.nbd.2017.07.005 [PubMed] [PMC]
§ Schreiber AK, Nones CF, Reis RC, Chichorro JG, Cunha JM (2015) Diabetic neuropathic pain: Physiopathology and treatment. World Journal of Diabetes 6(3): 432–444. https://doi.org/10.4239/wjd.v6.i3.432 [PubMed] [PMC]
§ Shillo P, Sloan G, Greig M, Hunt L, Selvarajah D, Elliott J, Gandhi R, Wilkinson ID, Tesfaye S (2019) Painful and painless diabetic neuropathies: What is the difference? Current Diabetes Reports 19 (6): 32. https://doi.org/10.1007/s11892-019-1150-5 [PubMed] [PMC]
§ Solís-Guillén R, Leopoldo M, Meneses A, Centurión D (2021) Activation of 5-HT1A and 5-HT7 receptors enhanced a positively reinforced long-term memory. Behavioural Brain Research 397: 112932. https://doi.org/10.1016/j.bbr.2020.112932 [PubMed]
§ Takemiya T, Fumizawa K, Yamagata K, Iwakura Y, Kawakami M (2017) Brain interleukin-1 facilitates learning of a water maze spatial memory task in young mice. Frontiers in Behavioral Neuroscience 11: 202. https://doi.org/10.3389/fnbeh.2017.00202 [PubMed] [PMC]
§ Tesfaye S, Boulton AJ, Dickenson AH (2013) Mechanisms and management of diabetic painful distal symmetrical polyneuropathy. Diabetes Care 36(9): 2456–2465. https://doi.org/10.2337/dc12-1964 [PubMed] [PMC]
§ Tesfaye S, Boulton AJ, Dyck PJ, Freeman R, Horowitz M, Kempler P, Lauria G, Malik RA, Spallone V, Vinik A, Bernardi L, Valensi P (2010). Toronto diabetic neuropathy expert group. Diabetic neuropathies: update on definitions, diagnostic criteria, estimation of severity, and treatments. Diabetes Care 33(10): 2285–2293. https://doi.org/10.2337/dc10-1303 [PubMed] [PMC]
§ Tesfaye S, Kempler P (2023) Conventional management and current guidelines for painful diabetic neuropathy. Diabetes Research and Clinical Practice Suppl 1: 110765. https://doi.org/10.1016/j.diabres.2023.110765 [PubMed]
§ Tong L, Prieto GA, Kramár EA, Smith ED, Cribbs DH, Lynch G, Cotman CW (2012) Brain-derived neurotrophic factor-dependent synaptic plasticity is suppressed by interleukin-1β via p38 mitogen-activated protein kinase. Journal of Neuroscience 32 (49): 17714–17724. https://doi.org/10.1523/jneurosci.1253-12.2012 [PubMed] [PMC]
§ Upadhyay A, Boyle KE, Broderick TL (2021) The effects of streptozotocin-induced diabetes and insulin treatment on carnitine biosynthesis and renal excretion. Molecules 26 (22): 6872. https://doi.org/10.3390/molecules26226872 [PubMed] [PMC]
§ Villegas AQ, Manzo HSA, Oa Valenzuela Almada M, Modragon CB, Guzman RG (2019) Procognitive and neuroprotective effect of 5-HT7 agonist in an animal model by ICV amyloid-b injection (P1.1-005). Neurology Issue 92 (suppl 15) https://doi.org/10.1212/WNL.92.15_supplement.P1.1-005
§ Wiffen PJ, Derry S, Bell RF, Rice AS, Tölle TR, Phillips T, Moore RA (2017) Gabapentin for chronic neuropathic pain in adults. Cochrane Database of Systematic Reviews 6(6): CD007938. https://doi.org/10.1002/14651858.cd007938.pub4 [PubMed] [PMC]
§ Yoon C, Wook YY, Sik NH, Ho KS, Mo CJ (1994) Behavioral signs of ongoing pain and cold allodynia in a rat model of neuropathic pain. Pain 59(3): 369–376. https://doi.org/10.1016/0304-3959(94)90023-x [PubMed]
§ Zheng H, Lin Q, Wang D, Xu P, Zhao L, Hu W, Bai G, Yan Z, Gao H (2017) NMR-based metabolomics reveals brain region-specific metabolic alterations in streptozotocin-induced diabetic rats with cognitive dysfunction. Metabolic Brain Disease 32(2): 585–593. https://doi.org/10.1007/s11011-016-9949-0 [PubMed]
§ Zhu X, Zhang C, Hu Y, Wang Y, Xiao S, Zhu Y, Sun H, Sun J, Xu C, Xu Y, Chen Y, He X, Liu B, Liu J, Du J, Liang Y, Liu B, Li X, Jiang Y, Shen Z, Shao X, Fang J (2024) Modulation of comorbid chronic neuropathic pain and anxiety-like behaviors by glutamatergic neurons in the ventrolateral periaqueductal gray and the analgesic and anxiolytic effects of electroacupuncture. eNeuro 11(8): ENEURO.0454-23.2024. https://doi.org/10.1523/eneuro.0454-23.2024 [PubMed] [PMC]
Author Contribution
§ Venkatesh Goura, Master of Pharmacy in Pharmacology, Researcher at the Department of Drug Biology, Suven Life Sciences Ltd; Hyderabad, India; e-mail: venkateshg@suven.com. The author developed the idea, concept and design of the study and took part in the experimental work, analyzed the results and prepared the final version of the manuscript.
§ Pardeep Jayarajan, Doctor of Philosophy in Pharmacology, Researcher at the Department of Drug Biology, Suven Life Sciences Ltd; Hyderabad, India; e-mail: pradeep@suven.com. The author reviewed the idea, concept and was engaged in developing design of the study and edited the final version of the manuscript.
§ Renny Abraham, Doctor of Philosophy in Pharmacology, Researcher at the Department of Drug Biology, Suven Life Sciences Ltd; Hyderabad, India; e-mail: renny@suven.com. The author reviewed the idea, concept and design of the study, performed statistical analysis and edited the final version of the manuscript.
§ Rajeshbabu Medapati, Master of Pharmacy in Pharmacology, Researcher at the Department of Drug Biology, Suven Life Sciences Ltd; Hyderabad, India; email: rajeshbabum@suven.com. The author took part in the experimental work, analysis and interpretation of the obtained results and edited the final version of the manuscript.
§ Rajesh Kallepalli, Master of Pharmacy in Pharmacology, Researcher at the Department of Drug Biology, Suven Life Sciences Ltd; Hyderabad, India; e-mail: rajesh_kallepalli@suven.com. The author took part in the experimental work, analyzed the results and edited the final version of the manuscript.
§ Anoop Kishore, Doctor of Philosophy in Pharmacology, Associate Professor of the Department of Pharmacology, Manipal College of Pharmaceutical Sciences, Manipal Academy of Higher Education, Manipal, Karnataka, India; e-mail: anoop.kishore@manipal.edu; ORCID ID: https://orcid.org/0000-0002-8116-8408. The author reviewed the idea, concept and design of the study and edited the final version of the manuscript.
§ Ramakrishna Nirogi, Doctor of Philosophy in Chemistry, President of the Drug Discovery, Suven Life Sciences Ltd; Hyderabad, India; e-mail: nvsrk@suven.com; ORCID ID: https://orcid.org/0000-0002-2045-0784. The author played role in the supervision of the concept, design of the study and edited the final version of the manuscript.
Copyright (c) 2025 Goura V, Jayarajan P, Abraham R, Medapati R, Kallepalli R, Kishore A, Nirogi R

This work is licensed under a Creative Commons Attribution 4.0 International License.
