Effect of hydrogel with a new acexamic acid derivative on the survival of ischemic tissue
Alexey A. Khentov, Alexey V. Kuznetsov, Anton A. Bolgov, Anton P. Danilenko, Albina V. Miller, Elena T. Zhilyakova, Sergey M. Yurov, Konstantin A. Bratchin, Tatiana V. Puzanova, Yana V. Loboda, Polina M. Yurova, Natalia V. Avtina, Lyudmila M. Danilenko
Abstract
Introduction: Prevention and correction of the consequences of local ischemia developing during various surgical interventions is a pressing issue in modern medicine.
Materials and Methods: The study was conducted on 24 Agouti viable yellow mice weighing 30-35 g. An ischemic skin flap measuring 10 x 30 mm was created on the back skin of mice with a mutation in the Agouti viable yellow gene. Immediately after the procedure, the animals were topically treated twice daily with a hydrogel containing 2-ethyl-6-methyl-3-hydroxypyridinium N-acetyl-6-aminohexanoate (2E-6M-3G-NA-6A) (5%) and reference drug, panthenol gel (10%) for 10 days. Wound healing was monitored using planimetry, microcirculation, and histomorphological and biochemical parameters.
Conclusion: 2E-6M-3G-NA-6A in a hydrogel dosage form is capable of stimulating wound healing in ischemic tissues to the level of non-ischemic wounds and may become a new and effective method for treating long-term non-healing wounds.
Graphical Abstract
Keywords: hydrogel, 2-ethyl-6-methyl-3-hydroxypyridinium N-acetyl-6-aminohexanoate, Agouti yellow, Carbopol 940
Introduction
Wound treatment currently accounts for a significant portion of healthcare costs worldwide. A non-healing wound is a common, heterogeneous pathology that depends on many factors, including inadequate blood supply, concomitant systemic diseases, the patient’s age, and repeated trauma (Wang et al. 2025). Such wounds are difficult to treat conservatively and require additional pharmacotherapeutic measures (Zhang et al. 2025).
Tissue repair, regardless of the cause of injury, follows a consistent pattern of stages and involves a stereotypical set of physiological and biochemical processes. Typical physiological processes (exudation, inflammation, proliferation, remodeling, etc.) occurring during wound healing are associated with adaptive changes in the course of biochemical reactions (changes in the acid-base balance, increased free radical processes, activation of eicosanoid synthesis, imbalance of proteolysis-protein synthesis). The inability of a wound to normally undergo the natural stages of healing may be due to the presence of a hypoxic-ischemic tissue environment. Numerous studies have reported that ischemic wounds associated with chronic edema and ischemia are difficult to treat, and the most common methods of local wound care have only a minimal effect on the size of the wound (Mirhaj et al. 2022; Kostina et al. 2025). As a consequence, patients with ischemic wounds of various origins, despite optimal drug therapy and surgical revascularization, may face a high risk of amputation (46%) and mortality (50%) (Vig et al. 2017). Therefore, there is an acute unmet need for new pharmacological methods of regenerative therapy for ischemic tissue damage.
Hydrogels have recently emerged as versatile therapeutic platforms with enormous potential for treating a variety of diseases due to their adjustable properties and biocompatibility. Recent innovations, including injectable, self-assembling, and bioadhesive hydrogels, have expanded their biomedical applications thanks to advances in chemistry and technology. Hydrogels as biomaterials offer several advantages over other soft dosage forms, including elastic properties, swelling ability, the ability to be filled with inorganic components, high drug bioavailability, and the ability to positively influence exudate absorption. Hydrogels absorb and retain wound exudate, promoting fibroblast proliferation and keratinocyte migration-processes necessary for complete epithelialization and wound healing. Furthermore, the porous structure of hydrogels acts as drainage sorbents, allowing for the removal of wound exudate, including microorganisms. The dense lattice structure of hydrogels also protects the wound from infection and prevents the penetration of microorganisms and bacteria into the wound area. When applied to the skin, the hydrogel forms a thin, smooth film that spreads well over the mucous and skin surfaces, providing a prolonged effect of medications and uniformly releasing active ingredients.
Among the many substances with tissue regenerative activity, N-acetyl-6-aminohexanoic (acexamic) acid is known as having been shown to accelerate the healing of skin and mucous membrane wounds and tubular bone fractures (Pakhomov et al. 2020; Blinova et al. 2021; Danilenko et al. 2025). To improve the protective properties of acexamic acid, a number of its new derivatives were synthesized, in particular 2E-6M-3G-NA-6A obtained by topochemical synthesis as a supramolecular complex. This expanded the pharmacotherapeutic spectrum of acexamic acid and improved its pharmacokinetic parameters (Danilenko et al. 2024). In this regard, the aim of the present study was to investigate the effect of topical application of 2E-6M-3G-NA-6A on the survival of isolated pedicled skin flap.
Materials and Methods
Animals
The experiments were conducted on 24 conventional adult C57BL/6J mice with a dominant mutation of the Agouti yellow (Au/a) gene, 6-8 weeks of age, of both sexes, obtained from the Stolbovaya Breeding Center of the Federal State Budgetary Scientific Institution of Biomedical Technologies of the Federal Medical and Biological Agency of Russia (Moscow). The mice were housed in the vivarium of the Research Institute of Pharmacology of Living Systems in cages with individual air exchange, 10-15 animals per cage, at an air temperature of 22-24°C, with a 12-hour/12-hour light/dark cycle, and a constant humidity level of 40-50%. They were fed a complete pelleted commercial feed. The animals also had free access to filtered, ultraviolet-disinfected water.
The experimental design was approved by the local ethics committee of Belgorod State National Research University (BelSU) (Minutes No. 10 dated March 20, 2025). All animal testing complied with the Good Laboratory Practice for Preclinical Research (approved by Decision of the Council of the Eurasian Economic Commission dated November 3, 2016, No. 81), and adhered to the ethical principles reflected in Directive 2010/63/EU on the Protection of Animals Used for Scientific Purposes and the European Convention for the Protection of Vertebrate Animals Used for Experimental and Other Scientific Purposes. According to Directive 2010/63/EU, the experiment was classified as “without recovery from anesthesia” at the end of the experiment. Mice were euthanized by cervical dislocation. Animals were allocated to groups using stratified randomization with stratification by body weight, as well as by the operations and manipulations performed. All animal experiments were performed under anesthesia with a combination of drugs (Zolazepam/tiletamine 0.6 mg/10.0 g + Medetomidine hydrochloride 0.5 mcg/10.0.
Drug under study
The dosage form is in the form of a 5% hydrogel containing 2-ethyl-6-methyl-3-hydroxypyridinium N-acetyl-6-aminohexanoate (5.0) as an active ingredient, Carbopol 940 (1.5) as a gelling agent, as well as glycerin (5.0), nipagin (0.015), nipazole (0.005), and water purified to 100.0. The dose of the studied hydrogel for topical application was calculated based on the previously obtained results in experimental preclinical studies, taking into account the interspecies dose transfer depending on the type of laboratory animal.
Preparation of a hydrogel based on 2-ethyl-6-methyl-3-hydroxypyri N-acetyl-6-aminohexanoate
Purified water (50% of the calculated required amount) is heated to 85°C on a heated platform with a magnetic stirrer. Once the water reaches this temperature, the magnetic stirrer is turned on and the preservatives nipagin (methyl 4-hydroxybenzoate) and nipazole (propyl ester of parahydroxybenzoic acid) are dissolved. The resulting aqueous solution with preservatives is cooled to room temperature, Carbopol 940 powder is added, and the hydrogel is formed with constant stirring. The solution is left at room temperature for 24 hours until a homogeneous gel-like mass is formed. The solution is then stirred for another 10 minutes to remove air bubbles (deaeration). The mass should be visually clear and free of air bubbles. After the polymer is completely dispersed, the remaining purified water at room temperature is added and the mixture is left for 24 hours until a gel-like base is formed. Dry 2-ethyl-6-methyl-3-hydroxypyridinium N-acetyl-6-aminohexanoate powder is ground in a mortar, then glycerin is added and mixed until a paste is formed. The gel base is added to the resulting paste in portions and mixed until a uniform hydrogel consistency is achieved. The prepared hydrogel is packaged in 20g aluminum tubes with a lacquered inner lining. The characteristics of the 2-ethyl-6-methyl-3-hydroxypyridinium N-acetyl-6-aminohexanoate hydrogel components are presented in Table 1.
|
Table 1. |
Download as |
||
|
Characteristics of the components of the hydrogel based on 2-ethyl-6-methyl-3-hydroxypyridinium N-acetyl-6-aminohexanoate, their functional properties and the amount of ingredients |
|||
|
Hydrogel components |
Functional properties |
Quantity of ingredients, g |
|
2-ethyl-6-methyl-3-hydroxypyri N-acetyl-6-aminohexanoate |
Stimulates bone tissue regeneration and mineralization in osteoporosis, accelerates reparative osteogenesis processes, improves the healing of uninfected wounds in type 1 diabetes mellitus and the treatment of 1-3 degree burns. |
5.0 |
|
Carbopol 940 |
A water-soluble polymer used as an emulsifying, stabilizing, suspending, thickening agent, and as a gelling agent in gels. |
1.5 |
|
Glycerol |
It has moisturizing properties, penetrates deeply, and helps soften and soothe irritated skin, reducing dryness, flaking, and itching. It also prevents the hydrogel from drying out when applied to the skin. |
5.0 |
|
Nipagin |
Methyl 4-hydroxybenzoate actively inhibits the growth of gram-positive bacteria, less actively – gram-negative bacteria and mold fungi. |
0.015 |
|
Nipazole |
Propyl parahydroxybenzoate. Has a broad spectrum of antibacterial and antifungal activities. |
0.005 |
|
Purified water |
Solvent |
до 100.0 |
The reference drug was 10% panthenol gel (OOO Alteya, Russia).
Experimental groups
The experimental groups were distributed as follows:
1 – 6 mice (Au/a) (sham-operated group);
2 – 6 mice (Au/a) + hydrogel without 2E-6M-3G-NA-6A (control group);
3 – 6 mice (Au/a) + hydrogel with 2E-6M-3G-NA-6A;
4 – 6 mice (Au/a) + panthenol gel (10%) (comparison drug).
Ischemic wound modeling
The back was depilated (using Veet depilatory cream (France)) to remove hair from the surgical site), then the skin was treated with a topical antiseptic solution of chlorhexidine bigluconate. An ischemic skin flap was modeled as follows: mice were incised from the xiphoid process along the linea alba (abdomen), a 30 mm long; symmetrical flap of skin 10 mm wide was dissected, resulting in a partially isolated flap with impaired blood supply. The edges of the flap were then sutured. On days 3, 7, and 10, the wound area was measured, and the percentage of wound size reduction was calculated (Kolesnik et al. 2010).
Microcirculation assessment
Microcirculation measurements were performed on the final day of the experiment, 10 days after anesthesia. To ensure reliable fixation, the animals were secured on a surgical table. The device’s sensor was positioned at a right angle to the surface of the ischemic wound and placed at five points: the proximal wound site (point 1), the distal wound site (point 2), and the medial, lateral, and central wound sites (points 3, 4, and 5, respectively). Microcirculation readings were collected sequentially at five points, recording microcirculation values at each point for 3 seconds. The average microcirculation in the damaged tissue was then calculated. Microcirculation measurements were performed using a TSD144 sensor from BiopacSystems, Inc. (California, USA): an MP150 polygraph with an LDF150C module (Molnar et al. 2020)
Biochemical assessment
Serum alkaline activity was determined after animal euthanasia via cardiac puncture using sterile vacutainers containing sodium heparin (17 IU/mL) sprayed onto the walls (VACUETTE, Greiner Bio-One, Austria). Alkaline phosphatase concentration was determined using an ACCENT-200 automated biochemical analyzer (PZ CORMAY S.A., Poland) (Terekhov et al. 2024).
Morphofunctional assessment of the skin flap
Histological examination of pathological processes occurring in the ischemic flap and the skin wound area was performed. Necropsy of ischemic flap fragments was performed at the wound site, removing the entire flap. All biopsies were then fixed in 10% Histosafe buffered formalin (Biovitrum, Russia). Forty-eight hours after fixation, the biopsy specimens were cut into several pieces, which were sent whole for histopathological examination (5-8 sections). Wound tissue fragments were dehydrated in graded ethanol solutions, embedded in paraffin, and cut into sections approximately 3 µm in size. Hematoxylin and eosin staining was performed using a standard technique using a Leica ST 4040 linear automatic stainer (Leica Microsystems GmbH, Germany). Histological changes were assessed using a Lomo microscope with a DV1000 video camera. Quantitative data were recorded and analyzed using MS Excel spreadsheets, with statistical processing using standard formulas and determination of statistical significance using the Student’s t-test.
Statistical data processing
All the data obtained were subjected to adequate statistical processing. Using descriptive statistics methods, data validation for the normality of the distribution using the Shapiro-Wilk criterion was verified. When analyzing the data, the intergroup differences were determined by parametric or nonparametric methods, depending on the type of distribution. In the case of a normal distribution, the Student’s criterion was used to analyze the differences between the two samples. When the distribution was different from normal, the Mann and Whitney U-test was used. The differences were considered significant at p<0.05. The statistical analysis was performed using IBM SPSS Statistics 26 and Microsoft Excel 2010 software.
Results
Further research methodology included planimetric assessment of wound healing dynamics. On the 3rd, 7th, and 10th days after surgery, the area of each skin flap in each experimental series was measured. Thus, the percentage of necrosis in the control series by the end of the experiment was 84.55±3.3% over the 10-day postoperative period. The size of the area of surviving tissue in animals that were treated for 10 days with 5% hydrogel based on 2E-6M-3G-NA-6A and 10% panthenol gel as pharmacological assistance, led to a decrease in the damage to the area of tissue necrosis by 1, 6, and 1.1 times, respectively. On day 10, the reference 10% panthenol gel was 1.4 times less effective than the 5% hydrogel based on 2E-6M-3G-NA-6A (Table 2).
|
Table 2. |
Download as |
||
|
Skin flap survival rates after application of a 5% hydrogel containing the active ingredient 2E-6M-3G-NA-6A in C57BL/6J transgenic mice with a dominant mutation of the Agouti yellow gene (M ± m; n = 6). |
|||
|
Area of CL necrosis, % |
|||
|
3 days |
7 days |
10 days |
|
|
Sham-operated animals |
- |
- |
- |
|
hydrogel without 2E-6M-3G-NA-6A (control group) |
35.98±3.2 |
65.76±2.4 |
84.55±3.3 |
|
hydrogel with 2E-6M-3G-NA-6A 5% |
24.37±3.1*# |
44.3±3.15*# |
51.1±2.4*# |
|
panthenol gel 10% (reference drug) |
26.1±2.8* |
54.9±4.4* |
68.8±3.5* |
Note: * – p<0.05 when compared with the results of the control group animals, # – p<0.05 when compared with the results of the reference drug group panthenol.
When modeling a skin flap on a feeding pedicle, the portion of its length that exceeds the base width by no more than 2 times survives. We deliberately modeled a flap the length of which was 4 times the base width. On the seventh day in the control group, the area of surviving tissue was 1.63±0.03 cm2 (p<0.0012), the survival rate was 40% of the initial area (4 cm2). The studied compounds demonstrated significant improvement in tissue regeneration, increasing the area of surviving tissue compared to the control. Specifically, administration of 2E-6M-3G-NA-6A resulted in an increase in area to 3.03±0.05 cm² p<0.001 (p<0.001), while 10% panthenol gel increased the area to 2.06±0.09 cm² ((p<0.001)). A visual picture of the skin flap on the feeding pedicle on the fifth day after its modeling is shown in Figure 1.
Figure 1. Skin flap on a feeding pedicle on the fifth day after its modeling, control group (A); panthenol gel (10%) (B); hydrogel with 2E-6M-3G-NA-6A (5%) (C).
The obtained results of cytoprotection in line mice of the C57BL/6J with a dominant mutation of the Au/a gene confirm that when correcting a skin flap on a pedicle, the use of 5% hydrogel with 2E-6M-3G-NA-6A improves tissue survival by the 10th day of the experiment, surpassing the reference drug panthenol (10%) in effectiveness.
Figure 2. Average level of microcirculation in the skin flap on a feeding pedicle on the tenth day after its modeling using 5% hydrogel with 2E-6M-3G-NA-6A in Au/a mice. Note: I – sham-operated animals: II – hydrogel without 2E-6M-3G-NA-6A (control group); III – 5% hydrogel with 2E-6M-3G-NA-6A; IV – 10% panthenol gel (reference drug).
The average value of microcirculation level in the calf muscle of mice with dominant mutation in the Agouti gene in the group of sham-operated animals is 503.7±35.6 PU. After modeling muscle ischemia, the level of microcirculation sharply decreases to the level of 242.3±19.6 (p<0.0018) PU. On the 10th day, the level of microcirculation in mice with daily administration of 2E-6M-3G-NA-6A approached that in the group of sham-operated animals and averaged 489.1±29.1 PU (p<0.0001) (Fig. 2).
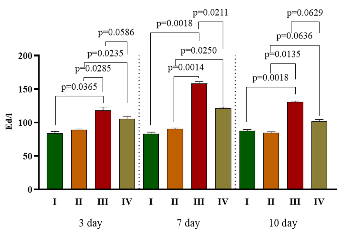
Figure 3. Dynamics of changes in the alkaline phosphatase level on days 3, 7, and 10 in the experimental groups. Note: I – sham-operated animals: II – hydrogel without 2E-6M-3G-NA-6A (control group); III – 5% hydrogel with 2E-6M-3G-NA-6A; IV – 10% panthenol gel (reference drug).
Based on the processing of the arithmetic mean values of microcirculation, a predominance of the intensity of local blood flow in soft tissues was revealed in the group receiving 5% hydrogel 2E-6M-3G-NA-6A (Fig. 2).
To assess collagen formation, serum alkaline phosphatase activity was determined as an indicator of the intensity of granulation tissue maturation. The results of the study are presented in Figure 3.
According to the results of quantitative determination of alkaline phosphatase in the blood of experimental animals, the group using 5% hydrogel with 2E-6M-3G-NA-6A achieved a maximum alkaline phosphatase level of 157.4 ±12.7 (p < 0.0014) U/L by day 7. In the group using the reference drug 10% panthenol, significantly low enzyme concentrations were noted at this time point of the study; at subsequent observation periods, the indicator decreased in all groups (Fig. 3).
When assessing the morphological picture of skin fragments of mice in the control group, dermal hypotrophy with moderate mature proliferations of granulation tissue was noted (Fig. 4 A).
Figure 4. Morphological picture on the isolated skin flap model: (A) control group; (B) group using 5% hydrogel based on 2E-6M-3G-NA-6A; (C) group using 10% panthenol gel. Hematoxylin + eosin, x40.
The morphological picture of the ischemic flap treated with a hydrogel containing 2E-6M-3G-NA-6A was characterized by complete epidermalization, but the entire thickness of the underlying tissue was replaced by relatively large proliferations of granulation tissue with superficial lymphohistiocytic infiltration (Fig. 4 B).
Histological examination of the samples from this group revealed an extensive skin defect covered by a scab with abundant mature proliferations of granulation tissue with moderate lymphohistiocytic infiltration, occupying the entire thickness of the skin flap beneath the scab (Fig. 4 C).
Mice treated with a hydrogel containing 2E-6M-3G-NA-6A demonstrated abundant proliferations of granulation tissue, indicating an active regenerative process. In the group of mice receiving panthenol gel, proliferation of granulation was also observed, but no epidermization of the wound was detected, which reflects the incompleteness of the regenerative process.
Discussion
Skin protects us from environmental influences and microbes. Any damage to the skin allows microorganisms to enter the body and can lead to infection. Severe damage to the skin leads to loss of fluid, electrolytes, and nutrients, which can be life-threatening. Chronic non-healing wounds are usually associated with comorbidities such as diabetes, vascular disorders, hypertension, chronic kidney disease, and a number of other causes.
Wound care costs include consumables and dressings (15–20%), care time (30–35%), and hospitalization (more than 50%), which are a significant issue (Morgun et al. 2018; Dixon et al. 2021).
Wound healing is a complex process of tissue regeneration. Diabetic wounds are considered among the most challenging in clinical practice. Under normal conditions, the wound closure process involves four overlapping and coordinated stages: hemostasis, inflammation, proliferation, and remodeling (Rodrigues et al. 2019). The first stage is hemostasis, during which the coagulation cascade is activated, and blood loss is prevented by the formation of a fibrin clot. The second stage is the inflammatory phase, which begins immediately after injury and can last up to 6 days. The onset of the inflammatory phase occurs with the secretion of proteolytic enzymes and proinflammatory cytokines by immune cells at the wound site. Inflammatory cells produce reactive oxygen species (ROS), the levels of which are higher in chronic wounds and burns. ROS prevent the penetration of microorganisms and bacteria. Also during the inflammatory phase, foreign particles and tissue debris are removed by macrophages and neutrophils. The next phase is proliferation, which begins 4 days after injury and can last up to 14 days. During this phase, reepithelialization and granulation tissue formation occur, followed by the formation of the extracellular matrix (ECM). The final stage of wound healing is the remodeling (maturation) phase, during which type III collagen is replaced by type I collagen, and the tensile strength of the newly formed tissue increases due to changes in the composition of the ECM (Tottoli et al. 2020). Figure 5 schematically illustrates the wound healing process under normal conditions.
Figure 5. Four stages of the wound healing process under normal conditions (Mirhaj al. 2022).
In patients with diabetic non-healing wounds, the wound healing process is slowed or even stopped due to disruption and prolongation of four stages (Darvishi et al. 2022).
Wound healing in acute conditions differs from healing in chronic conditions. The progression of an acute wound to a chronic one is largely due to an imbalance between matrix metalloproteinases, which degrade the extracellular matrix, and tissue-remodeling growth factors. During wound healing, a deficiency of tissue-remodeling growth factors in the ischemic area leads to a cessation of active cell proliferation, leading to the development of chronic wounds. Among the proangiogenic growth factors studied to date, vascular endothelial cell growth factor (VEGF) appears to be the most active in ischemic wound healing. At the same time, the free radical-mediated inflammatory response prevalent at the site of ischemic wounds can impair angiogenesis due to decreased levels of proangiogenic growth factors during long-term therapy. Therefore, active redox molecules that reduce the formation of reactive oxygen species in ischemic wounds may accelerate healing and improve clinical outcomes. Endothelial cell dysfunction and microcirculatory disturbances are common in diabetic patients, contributing to impaired angiogenesis, a process that occurs early in the proliferation phase (Wan et al. 2021; Zhang et al. 2021).
New approaches are constantly being explored in this area, but drug therapy is often adjuvant or complementary to other measures, such as compression therapy, surgery, reconstruction, or wound reopening procedures. Since systemic treatments are not always free of side effects, local wound treatment is an important option. This requires a search for new innovative molecules with high pharmacological efficacy and new dosage forms capable of ensuring high effectiveness of the main active ingredient.
The pathogenesis of diabetes mellitus is extremely complex, and none of the existing experimental models – not even intraperitoneal administration of streptozotocin or alloxan, not even partial pancreatectomy – can reproduce the entire diabetic pathological process and its variations. Therefore, the results obtained in the experimental models described above are not sufficiently reliable. Advances in genetics, molecular biology, and genetic engineering have enabled a new phase of experimental research using model animals. Mice with a mutation in the Agouti yellow gene exhibit constitutive expression of the Agouti protein, which acts as an inverse agonist of the melanocortin receptor. This leads to obesity in the animal and disruption of energy metabolism, clearly manifesting signs of metabolic syndrome characteristic of patients with diabetes. In addition to altered nutrient distribution, animals of this type directly stimulate fatty acid and triglyceride synthesis through Ca2+-dependent mechanisms (Yan et al. 2022).
In this regard, in this study, we investigated the therapeutic efficacy of a 5% hydrogel based on 2E-6M-3G-NA-6A.
The high pharmacological activity of acexamic acid derivatives has been demonstrated in numerous experimental studies. One of its derivatives, 2E-6M-3G-NA-6A was examined in this study. The high pro-regenerative activity of 2E-6M-3G-NA-6A may be due to both the presence of acexamic acid, which has proven tissue regeneration-stimulating properties, and the presence of a pyridinium residue (2-ethyl-6-methyl-3-hydroxypyridinium) (Danilenko et al. 2025). Pyridinium derivatives in the human body are known to include nicotinic acid, nicotinamide, and nicotinamide adenine dinucleotide (NAD), which is a coenzyme of NAD-dependent dehydrogenases. The pyridine ring is part of the vitamin B6 molecule, which, in the form of its phosphorus ester, pyridoxal phosphate, is a coenzyme of transaminases, enzymes that catalyze transamination reactions, resulting in the synthesis of replaceable amino acids that play an important role in cell division, wound healing, toxin removal from the body, and immune function.
The mechanisms of damage during ischemia are known to be quite diverse. Endothelial dysfunction and oxidative stress may play a leading role (Xu et al. 2021; Yang et al. 2024). Oxidative stress and chronic inflammation are known to be significantly elevated in diabetes through multiple mechanisms, including increased activation of protein kinase C (PKC), nuclear factor kappa B (NF-κB), decreased nitric oxide (NO) levels, increased expression of reactive oxygen species (ROS), and metabolic disturbances (Gora et al. 2021), leading to increased oxidative stress and inflammation, and subsequent endothelial cell dysfunction.
The mechanisms of the protective action of the studied compound 2E-6M-3G-NA-6A may be associated with the production of VEGF, increased activation of the nitric oxide system, transcription factors, which ultimately leads to an increase in the power of oxygen transport and utilization systems, antioxidant defense systems, and a decrease in endothelial dysfunction.
This is confirmed by previous studies in our laboratory, where 2E-6M-3G-NA-6A, when administered orally, confirmed the effect of the compound on bone tissue reparation processes in fractures, increasing the level of VEGF and eNOS, which can contribute to the processes of neovascularization and angiogenesis. In accordance with the above results, the present study on the therapeutic efficacy of topical application of a hydrogel based on 2E-6M-3G-NA-6A in lines C57BL/6J mice with a dominant mutation in the Agouti yellow gene using an isolated skin pedicle flap model provided cell rescue from hypoxic and oxidative stress, normalizing soft tissue microcirculation processes, reducing the area of necrosis, and promoting the growth of granulation and epithelialization.
Conclusion
A hydrogel based on 2E-6M-3G-NA-6A (5%), when administered twice every 12 hours, is a potential alternative for increasing the survival of ischemic tissues in patients with metabolic disorders, in particular diabetes mellitus. In all respects, 5% gel 2E-6M-3G-NA-6A was superior to the reference drug – 10% panthenol gel.
The use of a hydrogel based on 2E-6M-3G-NA-6A resulted in a 1.6-fold reduction in the size of the necrotic zone, a two-fold improvement in microcirculation, and improved biochemical and morphological parameters compared to the control group. All of this indicates an active process of regenerative epidermalization of ischemic tissue in C57BL/6J mice with a dominant mutation in the Agouti yellow gene. However, the mechanisms underlying the improvement in the survival of ischemic wounds require further study.
Additional Information
Conflict of interest
The authors declare the absence of a conflict of interests.
Ethics statement
The experimental design was approved by the local ethics committee of Belgorod State National Research University (BelSU) (Minutes No. 10 dated March 20, 2025).
Data availability
All of the data that support the findings of this study are available in the main text.
References
§ Blinova E, Pakhomov D, Shimanovsky D, Kilmyashkina M, Mazov Y, Demura T, Drozdov V, Blinov D, Deryabina O, Samishina E, Butenko A, Skachilova S, Sokolov A, Vasilkina O, Alkhatatneh BA, Vavilova O, Sukhov A, Shmatok D, Sorokvasha I, Tumutolova O, Lobanova E (2021) Cerium-containing N-acetyl-6-aminohexanoic acid formulation accelerates wound reparation in diabetic animals. Biomolecules 11(6): 834. https://doi.org/10.3390/biom11060834 [PubMed] [PMC]
§ Danilenko AP, Khentov AA, Korokin MV, Wan Sun, Kuznetsov AV, Gudyrev OS, Pokrovsky MV, Chao Zhu, Teplyakov MY, Nazarmamadov HE, Taran EI, Kochkarov AA, Kalinina EA, Kozlova KR, Tarasov AA, Milashenko VN, Lebedev PR, Danilenko LM (2025) Efficacy of 2-ethyl-6-methyl-3-hydroxypyridinium N-acetyl-6-aminohexanoate complex for pharmacological correction of bone tissue in transgenic mice lacking 11β-hydroxysteroid dehydrogenase type 2 expression. Experimental and Clinical Pharmacology [Eksperimental’naya i Klinicheskaya Farmakologiya] 88(3): 29-35. https://colab.ws/articles/10.30906%2F0869-2092-2025-88-3-29-35# [in Russian]
§ Danilenko AP, Khentov AA, Kuznetsov AV, Shmigerova VS, Stepenko YuV, Tarasova AP, Yakushev VI, Boeva EV, Miller AV, Tatarenkova IA, Puzanova TV, Loboda YaV, Trashchenko AP, Gudyrev OS, Motailo AL, Kuzichkin VN, Milashechko VN, Danilenko LM (2025) Predictive analysis and prediction of the main molecular targets for the N-acetyl-6-aminohexanoate derivative. Research Results in Pharmacology 11(2): 73–85. https://doi.org/10.18413/rrpharmacology.11.560
§ Danilenko AP, Zhunusov NS, Khentov AA, Pokrovsky VM, Kuznetsov AV, Kulikov AL, Nadezhdin SV, Danilenko LM, Peresypkina AA, Loboda YaV, Gudyrev OS, Rubanov MYu, Avtina TV (2024) Pharmacokinetic properties of a new supramolecular complex based on 2-ethyl-6-methyl-3-hydroxypyridinium N-acetyl-6-aminohexanoate and 2-ethyl-6-methyl-3-hydroxypyridinium 3-pyridinocarbonoate, which has osteoprotective activity in in vitro studies. Experimental and Clinical Pharmacology [Eksperimental’naya i Klinicheskaya Farmakologiya] 87(2): 13–19. https://doi.org/10.30906/0869-2092-2024-87-2-13-19 [in Russian]
§ Darvishi S, Tavakoli S, Kharaziha M, Girault HH, Kaminski CF, Mela I (2022) Advances in the sensing and treatment of wound biofilms. Angewandte Chemie International Edition 61(13): e202112218 https://doi.org/10.1002/anie.202112218 [PubMed] [PMC]
§ Dixon D, Edmonds М (2021) Managing diabetic foot ulcers: Pharmacotherapy for wound healing. Drugs 81(1): 29-56. https://doi.org/10.1007/s40265-020-01415-8 [PubMed]
§ Gora IM, Ciechanowska A, Ladyzynski P (2021) NLRP3 inflammasome at the interface of inflammation, endothelial dysfunction, and type 2 diabetes. Cells 10(2): 314 https://doi.org/10.1089/ars.2023.0524[PubMed] [PMC]
§ Kolesnik IM, Pokrovsky MV, Lazarenko VA, Gudyrev OS, Gureev VV, Danilenko LM, Korolev AE, Narykov RA, Zheludkov IS, Lopatin DV, Egorova EO, Alehin SA (2010) Remote preconditioning influence on ischemic tissues survival potential. Journal of Experimental and Clinical Surgery [Vestnik Eksperimentalnoy i Klinicheskoy Khirurgii] 3(3): 214–217. [in Russian]
§ Kostina DA, Shcheblykina OV, Peresypkina AA, Molchanov VV, Arkhipov VV, Zhernakova NI, Simokhina VS, Zhu C, Gudyrev OS (2025) Assessment of the severity of delayed changes in the state of the neuromuscular system during correction of local cold injury of III-IV degree with pCMV-VEGF165 plasmid preparation in an experiment. Research Results in Pharmacology 11(1): 90–98. https://doi.org/10.18413/rrpharmacology.11.550
§ Mirhaj M, Labbaf S, Tavakoli M, Seifalian AM (2022) Emerging treatment strategies in wound care. International Wound Journal 19(7): 1934–1954.| https://doi.org/10.1111/iwj.13786 [PubMed] [PMC]
§ Molnar A, Magyar Z, Nachmias DB, Mann D, Szabo B, Toth L, Nemeth N. (2020) Effect of short-term ischemia on microcirculation and wound healing of adipocutaneous flaps in the rat Acta Cirúrgica Brasileira 34(12): e201901203. https://doi.org/10.1590/s0102-865020190120000003 [PubMed] [PMC]
§ Morgun ЕI, Rogovaya ОS, Vorotelyak ЕА (2018) Ischemic non-healing skin wound model: cell death and wound healing mechanisms. Modern Technologies in Medicine [Sovremennye Tekhnologii v Medicine] 10(4): 69–77. https://doi.org/10.17691/stm2018.10.4.08 [in Russian]
§ Pakhomov DV, Blinova EV, Shimanovsky DN, Kilmyashkina MF, Kazaeva MA, Blinov DS, Nelipa MV, Nikolaev AV, Alkhatatnekh BA, Skachilova SYa, Bogoyavlenskaya TA, Kytko OV (2020) Evidence-based aspects of stimulating uncomplicated wound healing with local application of silver salt of acexamic acid. Operative Surgery and Clinical Anatomy [Operativnaya Khirurgiya i Klinicheskaya Anatomiya] 4(1): 19–25. https://doi.org/10.17116/operhirurg2020401119 [in Russian]
§ Rodrigues M, Kosaric N, Bonham CA, Gurtner GC (2019). Wound healing: a cellular perspective. Physiological Reviews 99: 665–706. https://doi.org/10.1152/physrev.00067.2017 [PubMed] [PMC]
§ Terekhov AG, Pankrusheva TA, Chekmareva MS, Mishina ES, Zaitsev AI, Borzenkov AD, Tokmakov AD, Grigoryan AY (2024) Evaluation of the effectiveness of benzalkonium chloride, dexpanthenol and pentoxifylline combination in the local treatment of skin wounds in ischemic conditions (experimental study). Journal of New Medical Technologies [Vestnik Novykh Meditsinskikh Tekhnologiy] 31(2):10–13. https://doi.org/10.24412/1609-2163-2024-2-10-13 [in Russian]
§ Tottoli EM, Dorati R, Genta I, Chiesa E, Pisani S, Conti B (2020) Skin wound healing process and new emerging technologies for skin wound care and regeneration. Pharmaceutics 12(8): 735. https://doi.org/10.3390/pharmaceutics12080735 [PubMed] [PMC]
§ Vig K, Chaudhari A, Tripathi S, Dixit S, Sahu R, Pillai S, Dennis VA, Singh SR (2017) Advances in skin regeneration using tissue engineering. International Journal of Molecular Sciences 18(4): 789 https://doi.org/10.3390/ijms18040789 [PubMed] [PMC]
§ Wan R, Weissman JP, Grundman K, Lang L, Grybowski DJ, Galiano RD (2021) Diabetic wound healing: the impact of diabetes on myofibroblast activity and its potential therapeutic treatments. Wound Repair and Regeneration 29(4): 573-581. https://doi.org/10.1111/wrr.12954 [PubMed]
§ Wang D, Yin Y, Wang S, Zhao T, Gong F, Zhao Y, Wang B, Huang Y, Cheng Z, Zhu G, Wang Z, Wang Y, Ren J, Liang G, Li X, Huang Z (2025) FGF1(deltaHBS) prevents diabetic cardiomyopathy by maintaining mitochondrial homeostasis and reducing oxidative stress via AMPK/Nur77 suppression. Signal Transduction and Targeted Therapy 6(1): 133. https://doi.org/10.1038/s41392-021-00542-2 [PubMed] [PMC]
§ Xu S, Ilyas I, Little PJ, Li H, Kamato D, Zheng X, Luo S, Li Z, Liu P, Han J, Harding IC, Ebong E E, Cameron SJ, Stewart AG, Weng J (2021) Endothelial dysfunction in atherosclerotic cardiovascular diseases and beyond: From mechanism to pharmacotherapies. Pharmacological Reviews 73(3): 924–967 https://doi.org/10.1124/pharmrev.120.000096 [PubMed]
§ Yan C, Chen J , Wang C , Yuan M , Kang Y, Wu Z, Li W, Zhang G, Machens H-G, Rinkevich Y, Chen Z, Yang X, Xu X (2022) Milk exosomes-mediated miR-31-5p delivery accelerates diabetic wound healing through promoting angiogenesis. Angewandte Chemie International Edition 61(13): e202112218 https://doi.org/10.1002/anie.202112218 [PubMed] [PMC]
§ Yang DR, Wang MY, Zhang CL, Wang Y (2024) Endothelial dysfunction in vascular complications of diabetes: a comprehensive review of mechanisms and implications. Frontiers in Endocrinologt (Lausanne) 5(15): 1359255. https://doi.org/10.3389/fendo.2024.1359255 [PubMed] [PMC]
§ Zhang H, Yan Z, Zhu J, Li Z, Chen L, Zheng W, Dai Z, Yang J, Yun X, Wang Y, Zhou H, Jiang Z, Yu Q, Li S, Huang W, Yang L (2025) Extracellular mitochondrial-derived vesicles affect the progression of diabetic foot ulcer by regulating oxidative stress and mitochondrial dysfunction. Advanced Science 12(10): e2407574. https://doi.org/10.1002/advs.202407574 [PubMed] [PMC]
§ Zhang M, Wang G, Wang D, Zheng Y, Li Y, Meng W, Zhang X, Du F, Lee S (2021) Ag@ MOF-loaded chitosan nanoparticle and polyvinyl alcohol/sodium alginate/chitosan bilayer dressing for wound healing applications. International Journal of Biological Macromolecules 175: 481-494. https://doi.org/10.1016/j.ijbiomac.2021.02.045 [PubMed]
Author Contributions
§ Alexey A. Khentov, postgraduate student of the Department of Pharmacology and Clinical Pharmacology, Belgorod State National Research University, Belgorod, Russia; е-mail: alexeyhentov@gmail.com; ORCID ID: https://orcid.org/0009-0006-4315-0828. The author analyzed the results and participated in the experimental work.
§ Alexey V. Kuznetsov, postgraduate student of the Department of Pharmacology and Clinical Pharmacology, Belgorod State National Research University, Belgorod, Russia; e-mail: kav8080@bk.ru; ORCID ID: https://orcid.org/0000-0003-1889-1297. The author analyzed the results and participated in the experimental work.
§ Anton A. Bolgov, postgraduate student of the Department of Pharmacology and Clinical Pharmacology, Belgorod State National Research University, Belgorod, Russia; e-mail: toxabolgovv@mail.ru; ORCID ID: https://orcid.org/0000-0001-9708-8181. The author participated in the development of the study and evaluated the histomorphological results.
§ Anton P. Danilenko, postgraduate student of the Department of Pharmacology and Clinical Pharmacology, Belgorod State National Research University, Belgorod, Russia; e-mail: 1190540@bsuedu.ru; ORCID ID: https://orcid.org/0009-0001-2419-8109. The author participated in the study design, conducted the experimental work, and analyzed the data.
§ Albina V. Miller, postgraduate student of the Department of Pharmacology and Clinical Pharmacology, Belgorod State National Research University, Belgorod, Russia; e-mail: cherednichenko.albina@gmail.com; ORCID ID: https://orcid.org/0000-0003-0162-9196. The author took part in writing the article and processing the results obtained.
§ Elena T. Zhilyakova, Doct. Sci. (Pharmacy), Professor of the Department of Pharmacology and Clinical Pharmacology, Belgorod State National Research University, Belgorod, Russia; e-mail: ezhilyakova@bsuedu.ru; ORCID ID: https://orcid.org/0000-0002-8685-1601. The author participated in the development of the dosage form.
§ Sergey M. Yurov, undergraduate student, Institute of Medicine, Belgorod State National Research University, Belgorod, Russia; e-mail: 1226850@bsuedu.ru; ORCID ID: https://orcid.org/0009-0000-1357-6074. The author analyzed the results and participated in the experimental work.
§ Konstantin A. Bratchin, undergraduate student, Institute of Medicine, Belgorod State National Research University, Belgorod, Russia; e-mail: 1463347@bsuedu.ru; ORCID ID: https://orcid.org/0009-0002-0996-6875. The author analyzed the literature and participated in interpreting the data.
§ Tatiana V. Puzanova, postgraduate student of the Department of Pharmacology and Clinical Pharmacology, Belgorod State National Research University, Belgorod, Russia; e-mail: tatius_ktv@mail.ru; ORCID ID: https://orcid.org/0009-0003-7926-8447. The author analyzed the results, participated in the experimental work and in the article writing.
§ Yana V. Loboda, postgraduate student of the Department of Pharmacology and Clinical Pharmacology, Belgorod State National Research University, Belgorod, Russia; e-mail: loboda.yana0104@yandex.ru; ORCID ID: https://orcid.org/0009-0004-0237-5233. The author analyzed the results and participated in the experimental work.
§ Polina M. Yurova, undergraduate student, Institute of Medicine, Belgorod State National Research University, Belgorod, Russia; e-mail: 1548556@bsuedu.ru; ORCID ID: https://orcid.org/0009-0009-5395-6181. The author was engaged in conducting the literature analysis.
§ Natalia V. Avtina, PhD in Pharmaceutical Sciences, Associate Professor of the Department of Pharmacology and Clinical Pharmacology, Belgorod State National Research University, Belgorod, Russia; e-mail: avtina@bsuedu.ru; ORCID ID: https://orcid.org/0000-0002-8685-1601. The author participated in the development of the dosage form.
§ Lyudmila M. Danilenko, Doct. Sci. (Pharmacy), Professor of the Department of Pharmacology and Clinical Pharmacology, Belgorod State National Research University, Belgorod, Russia; e-mail: Danilenko_L@bsuedu.ru; ORCID ID: https://orcid.org/0000-0001-6101-8712. The author was engaged in collection and interpretation of the data for the paper.
Copyright (c) 2025 Khentov AA, Kuznetsov AV, Bolgov AA, Danilenko AP, Miller AV, Zhilyakova ET, Yurov SM, Bratchin KA, Puzanova TV, Loboda YV, Yurova PM, Avtina NV, Danilenko LM

This work is licensed under a Creative Commons Attribution 4.0 International License.
